• 邮箱
  • ARP
  • 内网
  • 网站地图
  • ENGLISH
  • 农业技术中心
  • 中国科学院
  • 邮箱
  • ARP
  • 内网
  • 网站地图
  • ENGLISH
  • 农业技术中心
  • 中国科学院
  1. 当前位置:首页    重大项目管理    重点研发    东北典型沼泽植物种源补给与种子萌发诱导技术与应用    亮点成果
亮点成果

东北地理所在典型沼泽植物增殖调控方面取得进展

来源:湿地生态工程学科组

来源:湿地生态工程学科组   |  发布时间:2025-02-12   |  【 大  中  小 】

由缺水事件所引发的植物繁殖过程阻滞问题严重威胁着湿地生态系统健康。精准补水措施可在缓解农业-生态用水矛盾的前提下促进退化湿地的近自然恢复。尽管精准补水作为一种基于自然的湿地植被恢复解决方案的生态意义已被广泛认可,但以往的研究多关注于植物功能性状对水文情势变化的响应,而关于精准补水对植物增殖调控的作用机制仍然知之甚少,尽管其对植物繁殖和遗传信息传递具有重要影响。

中国科学院东北地理与农业生态研究所科研人员以典型湿地植物-瘤囊薹草为研究对象,基于多年期野外观测信息及微宇宙实验数据,比较了不同初始水文条件及分时补水措施下瘤囊薹草小穗发育和种子生长特征差异,探究了精准补水措施对瘤囊薹草繁殖器官发育的贡献程度和作用机制,并以此为基础靶向性提出基于农业用水循环利用的湿地精准补水策略。

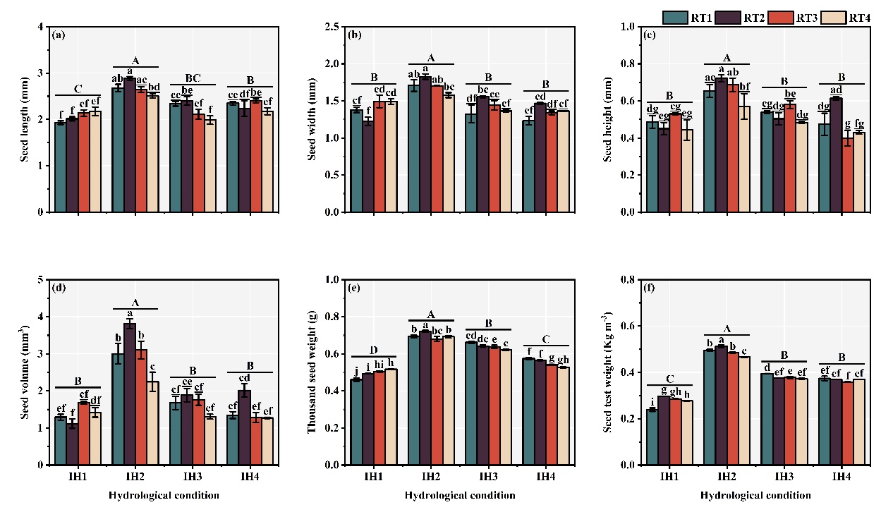
研究结果表明,初始水文条件和分时补水措施显著影响了瘤囊薹草的小穗发育、种子生长、叶片发育以及光合色素积累。相较于其他处理,湿润条件结合第15天补水至初始水文状态的水文情势显著增强了瘤囊薹草小穗发育特征、种子生长特性,且叶片生态特征及叶绿素含量均高于其他处理条件。此外,小穗发育特征和种子生长性状与叶片生态特征和叶绿素含量表现出显著的相关性。在驱动机制方面,水文条件及补水情境直接影响了瘤囊薹草的小穗发育和种子生长,同时还通过调控叶片宽度和叶绿素b含量从而间接影响小穗发育过程和随后的种子生长活动。总体而言,精准补水措施通过多种途径显著影响瘤囊薹草的小穗发育和种子生长。结合半干旱区气候特征及农业发展状况,实施洪水和融雪水资源集约化利用以及农业-生态水资源共管可作为半干旱地区高效利用水资源的关键策略。

研究成果近期在线发表于国际期刊Journal of Environmental Management,本研究由东北地理所特别研究助理张洺也(第一作者)、安雨副研究员(通讯作者)、王国栋研究员、姜明研究员、佟守正研究员等共同完成。该研究得到了国家重点研发计划青年科学家项目(2023YFF1305800)和吉林省科技发展项目(YDZJ202401477ZYTS)等项目共同资助。

图1 典型沼泽植物增殖调控实验设计

图2 不同补水措施下典型沼泽植物种子发育特征

图3 典型沼泽植物种子发育活动与叶片生态特征之间的关系

图4 精准补水措施对典型沼泽植物增殖扩繁的驱动机制

论文信息及链接如下:

Zhang,MY,Liu SC,An,Y,Zhang,DJ,Qi,Q,Jiang,M,Cui,G,Tong,SZ. 2024.Re-watering solution facilitates seed germination and seedling growth of Carex schmidtii: Implication for species re-introduction in degraded semi-arid wetlands. Journal of Environmental Management,362,121286. Doi:10.1016/j.jenvman.2024.121286.

Zhang,MY,Liu SC,Wang,GD,An,Y,Jiang,M,Zhang,DJ,Cui,G,Yan,L,Tong,SZ. 2025. Precision water recharge facilitates spikelet development and seed growth in Carex schmidtii: Implications for near-natural restoration of degraded semi-arid wetlands. Journal of Environmental Management,375,124338. Doi:10.1016/j.jenvman.2025.124338.



附件下载:

版权所有 © 中国科学院东北地理与农业生态研究所 吉ICP备05002032号-1 吉公网安备22017302000214号
地址:吉林省长春市高新北区盛北大街4888号 邮编:130102
电话:+86 431 85542266 传真:+86 431 85542298 Email:iga@iga.ac.cn