火是自然生态系统中重要的生态扰动因素之一,其对生态系统的植被群落结构、演替、多样性以及净初级生产力等均产生不可忽略的影响。湿地生态系统储存超过全球30%以上的土壤碳,是重要的碳库。规划火烧已经逐渐成为管理和恢复湿地生态系统的重要手段之一,且在全球变暖和区域人类活动增加的背景下,野火和人为火发生的频率和强度在全球范围内均明显增加,而火对湿地生态系统的碳循环过程影响也将成为全球碳循环过程中必不可少的关键因素之一。然而相比于森林、草地等生态系统,目前缺乏关于火烧对湿地碳循环的影响研究。
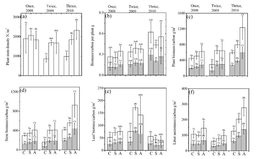
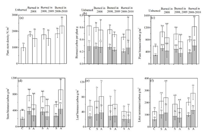
为深入探讨火烧频次、火烧季节等因素对湿地植被的影响,中国科学院东北地理与农业生态研究所湿地演化与生态功能学科组的科研人员们与国际同行在三江平原选取我国最典型的草本沼泽湿地——小叶章湿地为研究对象,开展为期三年的野外火烧控制实验研究。研究发现火烧频次、火烧季节以及火后恢复时间均对小叶章群落的生长具有显著影响。火烧显著提高了小叶章群落在下一年度的地上生物量和茎密度,特别是茎密度,春季和秋季燃烧区的茎密度(约2000Nr/m2)均是未燃烧区(987 ± 190 Nr/m2)的两倍以上。而秋季火烧对小叶章群落地上生物量的促进效果要优于春季火烧,并随着火烧频次的增加影响更加明显,例如在连续三年火烧之后秋季火烧区的地上生物量是1236 ± 295 g/m2 明显高于春季火烧区(796.2 ± 66.6 g/m2)。相比于秋季火烧,春季火烧对小叶章群落的影响持续时间要更长。考虑前人研究中发现的火烧仅对燃烧区同一年的鸟类产生影响,根据本研究结果,我们认为如果将规划火烧作为一个降低地上植被枯落物载量防止农田跑火的手段,秋季火烧不仅可以有效的促进小叶章群落恢复并明显提高其地上生物量,同时也保证了地上可燃物载量在农业燃烧之前得到有效降低。

图1. 不同火烧频次对同年九月小叶章群落的茎密度和地上生物量的影响,a-b表示火烧频次间的差异显著性,A-C表示火烧季节间的差异显著性。

图2. 不同火烧频次(即不同火后恢复时间)对第三年九月小叶章群落的茎密度和地上生物量的影响,a-b表示火烧频次间的差异显著性,A-B表示火烧季节间的差异显著性。
相关成果发表在国际期刊Journal of Environmental Management上,本研究由东北地理所高传宇博士,赵红梅博士,王国平研究员等联合英国斯旺西大学Stefan H. Doerr教授和Cristina Santin博士在国家自然基金(41771504,42171103,42101108,41911530188),国家重点研发计划 (2017YFC0212303), 和中国科学院青年创新促进会 (2020235)等项目共同资助下完成。.
论文信息:
Chuanyu Gao, Guoping Wang, Cristina Santin, Stefan H. Doerr, Jinxin Cong, Hongmei Zhao*. Response of Calamagrostis angustifolia to burn frequency and seasonality in the Sanjiang Plain wetlands (Northeast China). Journal of Environmental Management, 2021, 300, 113759. https://doi.org/10.1016/j.jenvman.2021.113759