|

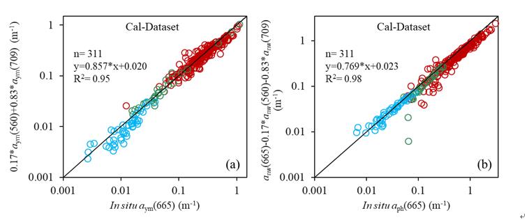
图1.基于实测吸收数据对TC2算法新的假设的验证

图2. 5种模型叶绿素a浓度估算精度对比
该成果近期发表在《Remote Sensing of Environment》上,受到国家重点研发计划课题“我国北方湖泊时空格局和变化特征(2019YFA0607101)”与国家自然科学基金重点项目(“咸水湖泊固有光学-偏振-介电特性研究”, 41730104)的共同资助。
论文信息:
Ge Liu, Lin Li, Kaishan Song, Yunmei Li, Heng Lyu, Zhidan Wen, Chong Fang, Shun Bi, Xiaoping Sun, Zongming Wang, Zhigang Cao, Yingxin Shang, Gongliang Yu, Zhubin Zheng, Changchun Huang, Yifan Xu, Kun Shi
全文链接:
https://www.sciencedirect.com/science/article/pii/S0034425720300961
https://www.sciencedirect.com/science/article/abs/pii/S0034425720300171
|