
图1 不同个体水平的Boronia floribunda种子大小、发芽率及对烟水响应的差异

图2 Anigozanthos flavidus种子萌发过程中胚的变化动态(a)完整的种子, (b)萌动前的胚, (c) 萌发前伸长的胚

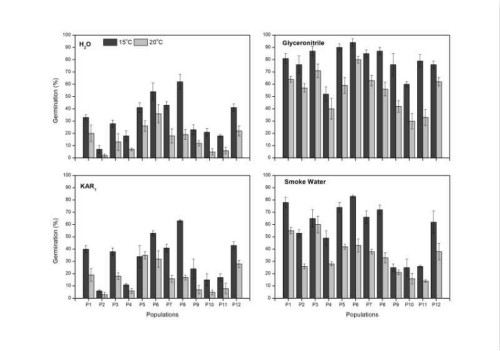
图3 不同种群的 Anigozanthos flavidus种子萌发对温度及烟信号 (KAR1、SP1、烟水)的响应
火烧信号对生态系统的影响引起了科学家的高度关注,特别是火烧发生的生态系统中,火烧信号通过对种子萌发的调控实现植被更新与恢复。植物种子对火烧信号产生的适应机制是什么样的,是揭示植物在长期进化过程中保持繁衍能力的关键科学问题,但目前国际研究较薄弱。为此,中科院东北地理与农业生态研究所研究员马红媛与澳大利亚和美国多家单位的专家合作开展了系列研究,揭示了植物种子对火烧信号产生的适应机制。相关研究成果发表于International Journal of Wildland Fire、Plant and Soil、AoB Plants等。
火是自然界周期性天然干扰因子,是塑造地表植被的重要调控因子,对草地、森林、湿地等生态系统结构和功能维持具有重要意义。近年来,由于受气温升高、极端干旱等全球变化的影响,自然野火发生频率和强度呈现增加趋势。
“火烧信号,包括植物燃烧产生的热激、气体烟挥发性有机物、火后降雨的烟水溶液等,都会对生态系统产生重要影响。” 马红媛向《中国科学报》介绍,其中植物燃烧产生的烟中的丁烯酸内酯(Karrikins,简写KARs,包括KAR1、KAR2、KAR3和KAR4) 和甘油腈(Glyceronitrile,简写SP1)是目前发现的影响植物种子休眠和萌发的主要化学物质。
近年来,马红媛与澳大利亚多家单位的专家合作,对澳大利亚不同休眠类型植物Boronia floribunda(物理休眠)和Anigozanthos flavidus(形态生理休眠)的种子开展了系统研究,深入剖析了种子在个体和种群水平上,KAR1、SP1、烟水、热激及其互作等对种子休眠和萌发、胚生长动态等的影响。研究表明,Boronia floribunda种子在个体水平上对烟水的浓度存在显著差异,保证了部分种子能够在适宜的环境下快速萌发;而部分种子则保持休眠状态并形成土壤种子库,这种趋同进化保证了该物种在火烧生态系统中的保存和更新(图1)。同时,通过对比12个种群的种子萌发特性(图2),首次报道了Anigozanthos flavidus种子休眠程度存在的种群水平显著差异,揭示了深度和浅度休眠差异的种子对不同烟信号及其互作的显著差异性响应特征(图3),总结了该物种适应火烧及多变复杂生境的重要繁殖策略。
相关研究得到中国科学院王宽诚教育基金会“优秀女科学家专项”、国家自然科学基金等项目联合资助。
相关论文信息:https://doi.org/10.1071/WF19195
https://doi.org/10.1093/aobpla/ply042
https://doi.org/10.1007/s11104-018-3641-6