东北地理所在黑土粮仓农业水安全风险研究中取得进展
气候驱动的水资源短缺和极端天气事件已成为全球粮食安全面临的主要风险。作为我国粮食安全战略核心区,东北黑土粮仓农业生产稳定性直接关系国家“饭碗安全”。然而,气候变化对黑土粮仓的农业水安全构成了严重威胁,主要表现为作物水分需求与降水模式的不匹配、灌溉用水需求激增导致的地下水可持续性危机以及频繁的极端水文事件。然而,目前有关黑土粮仓农业水安全风险的研究多聚焦于单一指标或因素,忽视了农业水安全风险的多维度特性尤其是“气候—土地—作物”系统的复杂性与关联性,导致评估不够精准,从而限制了对农业水安全风险的全面理解和有效应对。
东北地理所水文与水资源学科组研究人员提出了一个综合性的农业水安全风险评估框架,系统整合了包括旱涝灾害时空特征(持续时间和强度)、区域气候生产潜力、土地利用/覆被变化动态以及主要粮食作物(水稻、玉米和大豆)对气候变化的脆弱性响应等多维度关键因子,构建了适用于东北黑土区的农业水安全风险评估框架。基于该框架,在栅格、地级市(40个)和区域尺度(三大平原区与整个东北黑土区)评估了基准期(1999-2018年)农业水安全灾害性、暴露度、脆弱性和风险格局;随后,采用第六次国际耦合模式比较计划(CMIP6)多模型集成数据,模拟预测了SSP2-4.5(中等胁迫)和SSP5-8.5(高胁迫)两种共享社会经济路径下东北黑土区未来近期(2031-2050)、中期(2051-2070)和远期(2071-2100))农业水安全灾害性、暴露度、脆弱性和风险格局的演变趋势。
研究结果表明,基准期,东北黑土区旱涝灾害频发,尤其是旱灾风险较为突出;空间分布上,三大平原地区(三江平原、松嫩平原和辽河平原)的涝灾风险呈自南向北递减的空间分布特征。黑土区农业水安全平均风险值为 0.061,30% 的地级市处于高和极高风险水平,主要集中在辽宁西部和黑龙江省西南部。未来气候变化下,黑土区农业水安全风险的时空演变特征如下:
(1)时间趋势:近期风险达峰,长期分化明显
未来近期(2031-2050):成为农业水安全风险“峰值窗口期”,SSP2-4.5 情景下平均风险值升至 0.068,SSP5-8.5 情景下达到 0.067,且两种气候情景下黑土区50% 地级市农业水安全风险将增加。远期(2071-2100):情景分化显著,SSP2-4.5 情景下风险回落至 0.056(低于基准期),而 SSP5-8.5 情景下,风险反弹至 0.063。
(2)灾害转型:洪涝风险超越干旱风险成主导威胁
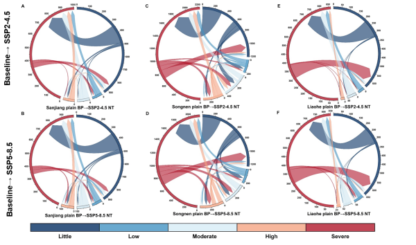
未来气候变化下,洪涝将取代干旱成为威胁黑土粮仓农业水安全的主要灾害。空间格局上,基准期三大平原的洪涝特征表现为“辽河平原>松嫩平原>三江平原”;至未来中期(2051-2070),洪水灾害分布将发生空间逆转,形成“三江平原>松嫩平原>辽河平原”的新格局。
(3)空间格局:三江平原成风险 “热点区”
三大平原农业水安全脆弱性将从历史时期的“辽河平原>松嫩平原>三江平原”的空间格局转变为“三江平原>辽河平原>松嫩平原”的未来分布格局。同时,三江平原极高暴露度面积将大幅度增加,加之涝灾风险北移,区域农业水安全风险在近期增幅最为显著。与基准期比较,两种气候情景下近期三大平原地区处于高和极高风险区面积都将增长43.68%。
基于研究发现,团队提出针对性的风险应对策略,包括优先推进重点区域水网建设、优化作物种植结构与生态布局和建立动态风险预警机制等。该研究提出的“灾害性—暴露度—脆弱性→农业水安全风险”综合预测与评估框架,通过多源数据融合与跨尺度分析,实现了风险评估的精细化与动态化,不仅为黑土粮仓的水安全保障提供了科学依据和决策支持,也为全球类似农业区(如美国大平原、乌克兰黑土区)的农业水安全风险评估提供了可迁移、可复制的方法论。
研究成果近期发表在农业水资源领域Top期刊《Agricultural Water Management》。由中国科学院东北地理与农业生态研究所联合培养硕士李泽华(第一作者)、吴燕锋副研究员(通讯作者)、章光新研究员、美国路易斯安那州立大学胥毅军教授、倪炳波博士、胡博亭博士、孙敬轩博士、章清松博士和于叶翔博士共同完成,研究得到了中国科学院战略性先导科技专项(XDA28020501和XDA28100105)等项目资助。

图1. 不同气候变化情景下东北黑土区的农业水安全风险。A、C、D、E、F、G、H为不同时期水安全风险等级的空间分布;饼状图为各水安全风险等级在不同时期的面积占比;B为不同时期不同情景下的平均农业水安全风险;BP、NT、MT和DF分别代表基准期、近期、中期和远期

图2. 未来气候变化下三江平原(A)、松嫩平原(B)、辽河平原(C)洪水强度和持续时间联合分布概率(JFE)

图3. 未来气候变化下三江平原(A)、松嫩平原(B)、辽河平原(C)农业水安全脆弱性

图4. 基准期至未来不同气候情景下(SSP2-4.5和SSP5-8.5)三江平原、松嫩平原和辽河平原的农业水安全风险水平转移矩阵
论文信息及链接如下:
Li,Z. et al.,2025. China's Black Soil Granary is approaching the climax phase of agricultural water security risk. Agricultural Water Management,319: 109780. DOI: https://doi.org/10.1016/j.agwat.2025.109780
附件下载:
吉公网安备22017302000214号