东北地理所在基于水量-效-质-碳-粮-生态多维耦合的水土资源空间优化配置模型研发与应用方面取得重要进展
在水资源刚性约束条件下,如何综合考虑多个目标实现水土资源优化配置仍是有待解决的国际前沿问题。考虑粮食安全和生态安全的水土资源优化配置涉及到水文、生态、农业、地理、经济等多个学科领域,同时考虑到了水资源和土地资源之间存在相互匹配与均衡的关系,任何一种资源的短缺都会限制另一种资源的利用,从而降低水土资源的综合利用效率。同时,在国家“碳达峰”和“碳中和”战略背景下,农田、林地、草地和湿地均是重要的固碳生态系统,对实现“双碳”目标具有重要作用。传统研究大多侧重水量和土地利用的耦合,随着研究逐步深入,部分研究开始关注多维因素综合优化,但在水土资源优化模型求解和土地资源空间配置方面耦合优化方面仍面临挑战。
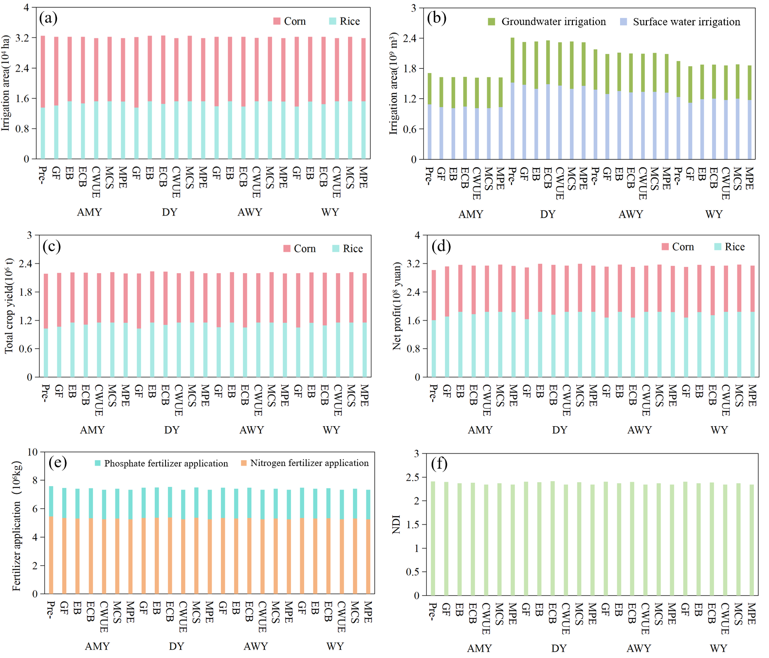
因此,中科院东北地理所研究人员研发了“基于水量-效-质-碳-粮-生态多维耦合的水土资源空间优化配置模型(COM-WL)”,将水量、水质、效率、碳循环、生态连通性及粮食生产等多目标纳入统一框架,结合改进的遗传算法PAEA-NSGAⅢ与开发的空间布局优化工具GridLOpt,通过动态权重调整策略和精英保留机制,实现了多维目标的协同优化。PAEA-NSGAⅢ算法在传统NSGA-III基础上引入渐进式适应度函数,可根据不同水文年情景优先优化特定目标,同时兼顾其他约束条件;GridLOpt模型采用分层网格划分与局部优化技术,提升了生态连通性并降低了土地利用转换成本。研究以吉林西部大安灌区为典型案例,设计了干旱年、平水年、丰水年及实测年共24种情景进行验证。优化结果表明:(1)基于水量、水质、效率、碳、粮食、生态等多维耦合的水土资源空间优化配置模型可实现农业水土资源均衡配置,既可保障经济效益和粮食安全,又可增加碳汇和水资源利用效率,减少了地下水利用和污染物排放,为应对不同水文条件下的挑战提供了建议。(2)优化后,大安灌区水稻灌溉面积可增加0.04%-6.08%,玉米面积可减少6.20%-0.02%,总灌溉面积保持稳定;地表水占比达64%,作物水分利用效率提升2.05%-4.08%;农业污染物排放减少1.95%-4.52%,碳汇量增加0.01%-0.59%,生态连通性提高11.6%-20.3%,与目标空间布局匹配度达99.8%。该成果为高资源依赖型灌区的水土资源管理提供了科学依据,对协调空间格局,粮食安全、生态保护与低碳发展具有重要意义。
该研究发表在农业水资源领域中科院1区期刊《Agricultural water management》上,由东北地理所联合培养硕士王迎彬(第一作者)、王海庆(共同一作)、齐鹏副研究员(通讯作者)等共同完成。研究得到吉林省优秀青年科技人才项目(应用技术类)(20230508099RC)、国家自然科学基金面上项目(42371037)和吉林省重大科技项目(20230303007SF)共同资助。

图1 基于水量-效-质-碳-粮-生态多维耦合的水土资源空间优化配置模型框架

图2 灌区水土资源空间优化概念图


图3 大安灌区的优化配置结果 (a–d)年灌溉面积、灌溉水源、作物总产量和每种作物的净利润;(e)氮磷肥施用量;(f)NDI污染指数(侧重地下水足迹(GF),侧重经济效益(EB),侧重生态效益(ECB),侧重作物用水效率(CWUE),侧重碳固存(MCS),侧重污染物排放(MPE))。

图4 土地利用空间优化结果
论文信息及链接如下:
Yingbin Wang,Haiqing Wang,Jiaxin Sun,Peng Qi*,Wenguang Zhang,and Guangxin Zhang. Spatially optimized allocation of water and land resources based on multi-dimensional coupling of water quantity,quality,efficiency,carbon,food,and ecology. Agricultural Water Management,2025,309 :109340.https://doi.org/10.1016/j.agwat.2025.109340
其他相关论文:
Jiaxin Sun,Yanli Yang,Peng Qi*,Guangxin Zhang and Yao Wu (2024:). Development and Application of a New Water-Carbon-Economy Coupling Model (WCECM) for Optimal Allocation of Agricultural Water and Land Resources. Agricultural Water Management,291,108608. https://doi.org/https://doi.org/10.1016/j.agwat.2023.108608.
附件下载:
吉公网安备22017302000214号