东北地理所在探究长期耕作和秸秆还田条件下土壤质量和玉米产量的驱动因素方面取得进展
土壤是农业生态系统功能的基础,但是不合理的耕作方式正在破坏土壤结构、加剧土壤侵蚀和养分下降。玉米秸秆还田能通过改善土壤孔隙结构、增加土壤有机碳和养分含量来提高土壤质量。然而,不合理的秸秆还田深度可能会减少土壤大团聚体的形成,并加速碳矿化过程。因此,探索适宜的秸秆还田方式以提高土壤质量和作物产量至关重要。
东北地理所黑土保护与利用学科组研究人员依托位于黑土区的秸秆还田长期定位试验,探究了秸秆还田深度对土壤质量和玉米产量的影响,通过分析土壤物理性质指数(SPI)、化学性质指数(SCI)和微生物性质指数(SMI)与土壤质量指数(SQI)和作物产量的关系,解析了适宜的秸秆还田方式在改善土壤质量、提升玉米产量方面的驱动机制,研究结果对提高土壤质量和制定可持续农业发展策略具有重要指导意义。
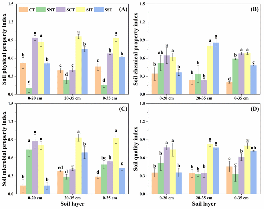
研究发现,秸秆还田与深翻耕作措施相结合显著改善了土壤质量。0–20 cm土层,与常规耕作、免耕秸秆覆盖和秸秆填埋处理相比,秸秆浅混和秸秆深混还田处理,SPI和SQI提高了43.9–845.4%(图1)。在20–35 cm土层,秸秆深混还田和秸秆填埋处理的SPI、SCI和SMI较其他处理提高了69.2–307.7%。在所有处理中,秸秆深混还田处理在0–35 cm土层内表现出了最高的SPI、SCI和SMI。此外,秸秆深混还田处理下的SQI和玉米产量分别比其他处理提高了11.7–140.5%和15.6–78.0%。线性回归分析表明,所有土层内的SPI对玉米产量均有显著影响,而SCI和SMI与玉米产量的显著相关性仅出现在20–35 cm土层(图2,P < 0.05)。SPI对玉米产量的贡献比SCI和SMI高18.6–156.8%(图3),同时,SPI能够直接影响SMI和SCI,是提高黑土区土壤质量和玉米产量的关键驱动因素(图4)。

图1. 秸秆还田对土壤质量、土壤物理、化学和微生物性质指数的影响。CT,常规耕作;SNT,免耕与秸秆还田相结合;SCT,常规耕作与秸秆还田相结合;SIT,深翻与秸秆还田相结合;SST,秸秆填埋还田。

图2. 玉米产量与土壤性质指标的相关性拟合。SQI,土壤质量指数;SPI,土壤物理性质指数;SCI,土壤化学性质指数;SMI,土壤微生物特性指数。

图3. SPI、SCI和SMI对SQI和玉米产量的贡献

图4. 概念图显示土壤性质对秸秆还田响应的增加(红色)和减少(蓝色),以及SPI、SCI和SMI对SQI和玉米产量的驱动机制。BD,土壤容重;SWC,土壤含水量;ANI,各向异性;FRD,分形维数;POIT,大孔隙度;SOC,土壤有机碳;AVN,碱解氮;AVP,有效磷;DOC,溶解性有机碳;DON,溶解性有机氮;MBN,微生物量氮;G+,革兰氏阳性菌。
研究成果近期发表在农林科学国际期刊Soil & Tillage Research(中国科学院1区Top期刊)上。黑土保护与利用学科组科研助理刘春柱为论文第一作者,邹文秀研究员为通讯作者。研究得到国家重点研发计划(2022YFD1500105)、中国科学院战略性先导科技专项A类(XDA28070100)、财政部和农业农村部:国家现代农业产业技术体系(CARS-04)和中国科学院区域发展青年学者计划(2022-027)共同资助。
论文信息:
Chunzhu Liu,Bingcheng Si,Ying Zhao,Zhimin Wu,Xinchun Lu,Xu Chen,Xiaozeng Han,Yuanchen Zhu,Wenxiu Zou. Drivers of soil quality and maize yield under long-term tillage and straw incorporation in Mollisols. Soil & Tillage Research,2025,246,106360.
论文链接:
https://doi.org/10.1016/j.still.2024.106360
附件下载:
吉公网安备22017302000214号