中国科学院东北地理与农业生态研究所在多元素耦合控制土壤能量持留方面取得进展
物质循环与能量流动是驱动生态系统形成演化的最基本过程。能量在生态系统中的传输与分配是单向的,且依靠物质循环过程进行,而物质循环则具有多向性和往复性。长期以来,生物地球化学研究中重点关注碳、氮、磷等生源要素的循环过程,忽视了组成生态系统的多要素之间的耦合特征,且与能量流动间的关联研究较少,这导能量流动与物质循环的研究脱节。
生态系统中植物通过光合作用固定太阳能以供给消费者。植物死亡后其残体输入形成土壤有机碳库,并构成土壤中主要的能量来源。因此,土壤有机碳可视为能量的储存库和周转池,其大小与有机碳自身特性与多元素循环密切相关。然而,土壤持留能量的能力受何种因素调控?其与多元素耦合及有机碳自身特性有何关联?相关科学问题尚未有解答。
东北地理所湿地生物与环境学科组研究人员,以长白山为研究对象,系统调查并对比分析长白山不同海拔及植被带中土壤与枯落物热值、土壤有机碳分子特性与多样性、土壤多元素耦合组成特征,揭示了多元素耦合与有机碳分子特征对土壤能量持留能力的控制机理。
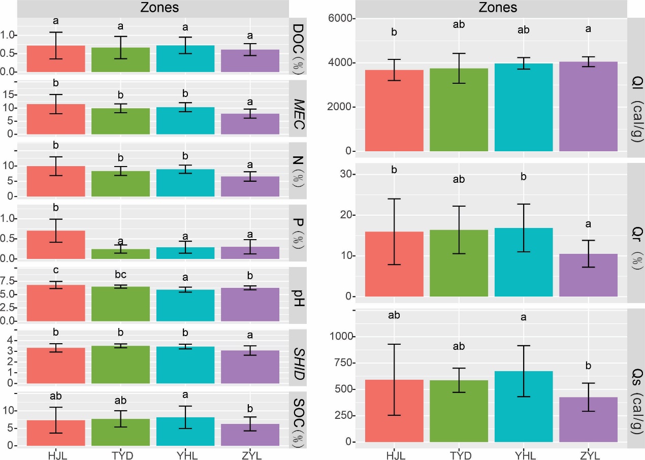
研究结果表明:长白山土壤(Qs)及枯落物(Ql)中平均能量水平分别为565 cal/g和3799 cal/g,Qs/Ql(Qr)比例在6.28%~43.65%之间变化,平均为14.74%。不同植被带Qs和Ql之间差异显著。应用热裂解-气质联机解析土壤有机碳分子结构特征,长白山土壤中共鉴定出635个分子结构,有机质分子多样性(SHID)1.81~4.17范围内变化,针叶林中SHID显著低于其他植被带。通过计算12种元素的耦合系数(MEC)发现,MEC在5.25~24.56间变化,平均为9.88(Fig.1)。

Fig.1 ANOVA analysis of soil properties,Qs,Ql and QR. Different letters meant differences at a significant level.
相关分析表明,海拔与Ql、MEC与Qr和Qs、SHID与Qs均呈正相关(表1),MEC与Qs相关系数最高,海拔与Ql相关系数最低,SHID仅与Qr呈正相关。本研究首次报道山地生态系统中Qs随海拔高度存在显著差异,并证实SOC含量与Qs呈显著正相关(图2a),尤其是有机质蕴含的能量值(定义为SOC含量表示的热值,Qsc,单位为KJ/gC)随海拔高度显著增加(图2b)。
Table 1 Correlations between Qs, Ql, Qr and environmental factors


Fig.2 Linear regression between SOC and Qs, between Qsc and elevation. Different shapes and colors represented samples from different zones.
VPA分析证实MEC对Qs的影响最大,MEC可单独解释Qs变化的19%, MEC与环境因素(海拔和pH)结合可以共同解释20%的Qs变异性(图3a)。环境因素或SHID单独对Qs变异的解释能力相对较低,分别为9%和1%,而MEC、SHID和环境因素联合可解释60%的Qs变异性。SEM模型显示海拔、MEC和SHID均对Qs具有正效应,其大小顺序为MEC>海拔>SHID(图3b)。

Fig.3 Impacts of MEC, SHID, and environmental factors on energy store in soils. The Fig.4a was explored based on the VPA analysis, which numbers in circles meant the exploration of variables on Qs and Qr, and numbers in where the circles meet reflected the combinations of two or three variables. The Fig.4b showed the SEM model that reflect direct or indirect effects of variables on Qs. Black line colors meant positive effects while the red color meant negative effects. Line width reflected absolute effect values. Numbers on the lines were path coefficients. * and *** indicated the significant level at p<0.05 and p<0.001, respectively.
本研究将SOC视为能量的携带者与储存池,首次揭示土壤中多元素耦合对能量固持具有主要调控作用,可深化生物地球化学研究中物质循环与能量传递之间耦合机理的认识。研究成果近期在线发表于农林科学领域重要期刊Catena上,论文由湿地生物与环境科学科组桑娈硕士研究生、张仲胜研究员(通讯作者)等共同完成。该研究得到国家自然科学基金(U20A2083)等共同资助。
论文信息:Sang L, Zhao WW, Wu HB, Jiang S, Zhang ZM, Zhang ZS, Wu HT. Multiple element coupling and molecular-chemical diversity of organic matter control how much energy is retained in soils in mountain ecosystems. Catena, 2024, 247: 108548.
原文链接:
https://www.sciencedirect.com/science/article/pii/S0341816224007458?dgcid=author
附件下载:
吉公网安备22017302000214号