东北地理所在有机物料深混还田改善土壤结构和土壤酶活性方面取得进展
有机物质可以通过对土壤物理、化学和生物特性的积极影响,显著改善农田生态系统中碳氮循环和土壤肥力。秸秆和有机肥作为常见的土壤改良剂,结合不同的耕作方式(常规耕作、轮作和深埋),对土壤养分有效性、土壤结构和土壤微生物群落有显著的改善效果。土壤酶活性是土壤微生物重要的指示性指标。土壤结构影响植物生长所需的水分和养分供应、物质交换、气体循环、微生物活动和作物根系的延伸。土壤孔隙结构可以通过影响微生物生存环境,进而影响酶活性。然而,有机物料还田条件下,黑钙土土壤孔隙结构对酶活性的影响尚不清楚。
东北地理所黑土保护与利用学科组研究人员在黑钙土地区通过有机物料还田与耕作深度结合的定位试验,探究了有机物料类型与还田深度对土壤孔隙结构和土壤酶活性的影响,并分析了土壤结构特征对微生物量和微生物活性的影响机制,旨在为改善土壤孔隙结构和微生物活性进而增加农田生态系统中碳氮的固存提供科学的见解。
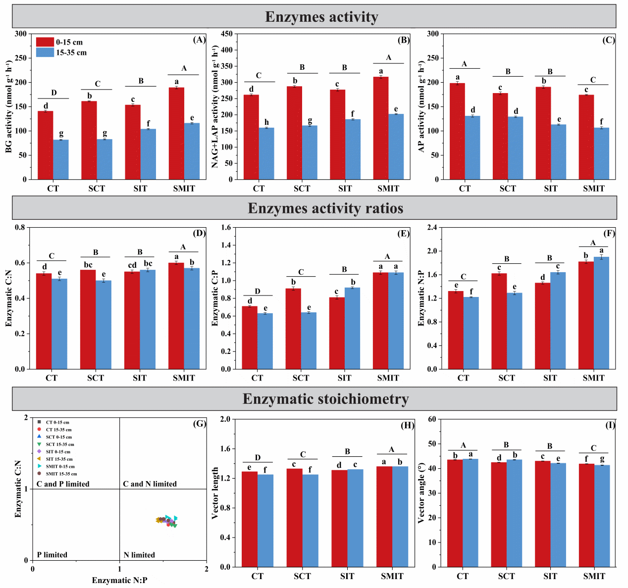
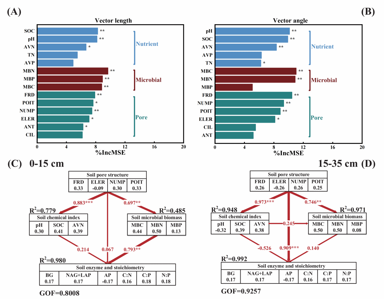
研究发现,(1)深翻耕作与有机物料相结合可以改变土壤孔隙结构,与秸秆浅混和深混处理相比,秸秆+有机肥结合深翻耕作处理的土壤在大孔隙数量、孔隙度和分形维数上均有显著增加,提高了0~35 cm土层土壤孔隙的复杂性和连通性;(2)土壤孔隙结构的改善有利于养分固持,形成有利于微生物生长的孔隙结构,使微生物生物量增加3.57~46.01%,土壤碳和氮限制酶活性分别显著提高了11.67~40.16%和8.81~21.43%(图1,P < 0.05);(3)结构方程模型表明,有机物料还田有利于土壤孔隙结构的发育,并显著提高土壤酶活性,进而缓解了微生物氮限制(图2和3),促进作物生长。因此,在黑钙土区域,秸秆+有机肥结合深翻耕作是能够改善土壤结构和微生物生存环境、促进土壤碳氮固存的有效措施。

图1. 土壤胞外酶活性对耕作和有机物料还田的响应

图2. 土壤性质对酶活性的影响和微生物资源限制与土壤性质的关系

图3. 概念图显示不同有机物料还田条件下土壤酶活性和微生物养分资源限制对土壤性质响应的增加(红色)和减少(蓝色)
研究成果近期发表在农林科学国际期刊Journal of Environmental Management(JCR 1区Top)上。黑土保护与利用学科组科研助理刘春柱为论文第一作者,陈旭助理研究员和邹文秀研究员为通讯作者。研究得到国家重点研发计划(2022YFD1500105)、中国科学院战略性先导科技专项A类(XDA28070100)和财政部和农业农村部:国家现代农业产业技术体系(CARS-04)共同资助。
论文信息:
Liu Chunzhu,Han Xiaozeng,Lu Xinchun,Yan Jun,Chen Xu*,Zou Wenxiu*. Response of soil enzymatic activity to pore structure under inversion tillage with organic materials incorporation in a Haplic Chernozem. Journal of Environmental Management,2024,370,122421.
论文链接:
DOI 10.1016/j.jenvman.2024.122421
附件下载:
吉公网安备22017302000214号