东北地理所在气候变化增强了氮形态对浮游植物优势种演替的驱动作用取得新进展
营养盐浓度及比例、光照强度和温度是影响浮游植物优势种演替的主要因素。尽管有这些见解,但高浑浊湖泊中优势种演替机制仍然是一个问题,尤其是如何应对气候变化的响应。
为了进一步揭示泊浮游植物演替的内在机制及其对气候变化的响应,中国科学院东北地理与农业生态研究所水文与水资源学科组研究人员基于近十年(2012-2022)查干湖浮游植物生物量和藻密度数据进行了优势种演替分析;并利用结构方程模型和湖泊水动力-水质-藻华综合模型解析浮游植物优势种演替的内在机制;最后,模拟不同气候变化情景下各类型浮游植物生物量的演变趋势。
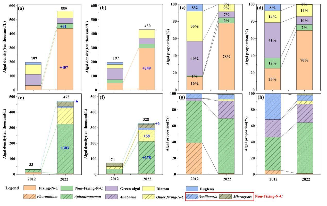
结果表明:2012-2022年,查干湖浮游植物优势种从硅藻转变为蓝藻(图1)。基于结构方程模型解析了这一演替的主要环境变量包括水温、总氮(TN)、总磷(TP)和氨氮(NH4-N)以及总悬浮颗粒物(TSS)。为了进一步探索浮游植物演替的驱动机制及其对气候变化的响应,我们构建了一个综合的水动力-水质-藻华综合模型来模拟多环境因子作用下各类型浮游植物生物量的演变(图2)。发现了营养物质的不同比例决定了浮游植物优势物种的演替。在浑浊水体中,高NH4-N:NO3-N比值有利于蓝藻生长,抑制硅藻生存。此外,硅藻(30.77%vs22.28%)和绿藻(30.56%vs23.30%)的生物量比例急剧下降。相比之下,随着NH4-N:NO3-N比值的增加,蓝藻丰度显著增加(35.78%-51.71%)。此外,当TN:TP≥20和NH4-N:NO3-N≥10时,非固氮蓝藻生物量占比高于固氮蓝藻。值得注意的是,在SSP585情景下,气温上升3.0℃时,蓝藻生物量达到基线情景的3-6倍。我们强调了氮形态对浮游植物优势种演替的影响,气候变暖将增强氮形态对优势种转变的驱动作用(图3),为控制蓝藻水华提供了科学依据。

图1 查干湖2012-2022年退水期和非退水期浮游植物密度和物种比例的动态变化。(a)和(b)表示有和没有退水时藻类密度的变化;(c)和(d)表示有和没有退水时藻类比例的变化

图2 湖泊水动力-水质-水华综合模型概念图

图3 气候变化增强了氮形态对浮游植物优势种演替的驱动作用
该研究发表在国际期刊Water Research上,中国科学院东北地理与农业生态研究所刘雪梅助理研究员为第一作者,章光新研究员为通讯作者。该研究得到了中国科学院战略性先导科技专项课题(XDA28020500)、国家基金委(U23A2008、42207088和42101051)等的共同资助。
论文信息:Liu, X., Zhang, J., Wu, Y., Yu, Y., Sun, J., Mao, D., Zhang*, G. Intensified effect of nitrogen forms on dominant phytoplankton species succession by climate change. Water Research, 2024, 264(6): 122214.
论文链接:https://doi.org/10.1016/j.watres.2024.122214
附件下载:
吉公网安备22017302000214号