东北地理所在黑土微生物介导土壤碳和微塑料碳转化机制方面取得进展
我国是农业大国,农用地膜的使用量高居不下,残留在土壤中的农用地膜经一系列环境因素破碎成塑料纤维、碎片或颗粒等,导致微塑料在土壤中大量积累。微塑料作为一种高碳聚合物,在持续崩解过程中会改变土壤碳代谢微生物群落功能。
为此,东北地理所农田分子生态学科组研究人员在前期研究的基础上(J. Hazard. Mater., 2022. 2023),继续探究传统(聚乙烯,PE-MP)和生物可降解(聚乳酸-己二酸对苯二甲酸丁二醇酯,BMP)微塑料残留对黑土及微塑料圈的碳循环相关功能微生物及微塑料的酶解特征。
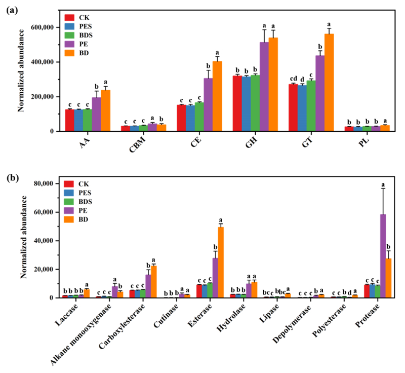
研究表明,微塑料圈的碳循环微生物群及碳水化合物水解酶(CAZymes)和塑料降解酶(PDZymes)的群落特征与土壤中存在显著差异,BMP引起的改变比PE-MP更为显著。微塑料圈显著富集了大量水解酶和降解酶且促进了多重碳降解代谢途径。相比BMP,PE特异性富集了碳水化合物结构域(CBM)来增加烷烃单加氧酶、蛋白酶等其他酶系对底物的亲和性;包括氧化还原酶(AA)和糖基转移酶(GT)以及漆酶和酯酶等在内的多种水解酶和降解酶可潜在作用于BMP的分解(图1)。与BMP相比,PE-MP通过富集Nocardia等物种进而潜在促进纤维素、半纤维素和几丁质等土壤惰性碳的降解,而BMP显著提升Bradyrhizobium等物种的丰度更有助于聚羟基脂肪酸(PHA)和淀粉等活性碳的降解(图2)。同时,BMP还显著促进了乙酸和乙醇型发酵及还原性三羧酸循环介导的土壤碳固定过程(图2)。对高质量基因组携带的相关功能基因挖掘发现,PE-MP和BMP分别需要土壤丝菌和鞘氨醇单胞菌等物种来分泌不同的水解酶和降解酶,将这两种微塑料高碳聚合物进行解聚,最终达到彻底的分解代谢(图3)。本研究明确了微塑料圈通过富集碳代谢相关微生物类群进而显著影响土壤碳循环功能,生物可降解微塑料对相关碳功能基因、碳水化合物水解酶和塑料降解酶的影响比聚乙烯微塑料更为广泛和显著。研究结果可为黑土微塑料治理及提升黑土有机碳固存潜力提供微生物学理论借鉴。

图1 微塑料残留下土壤及微塑料圈的水解酶(a)和降解酶(b)丰度

图2 微塑料残留下土壤及微塑料圈的碳代谢路径的差异

图3 传统和生物可降解微塑在土壤中的微生物潜在分解行为
研究成果近期发表在国际期刊《Chemosphere》(IF: 8.8)和《Applied Soil Ecology》(IF: 4.8)上,农田分子生态学科组副研究员胡晓婧为第一作者,王光华研究员为通讯作者。研究得到中国科学院青年创新促进会(2023237)、中国科学院战略性先导科技专项(XDA28020201)和黑龙江省自然科学基金重点项目(ZD2022D001)共同资助。
论文信息:
Hu X, Gu H, Sun X, Wang Y, Liu J, Yu Z, Li Y, Jin J, Wang G*. Metagenomic exploration of microbial and enzymatic traits involved in microplastic biodegradation. Chemosphere. 2024. 348.140762.
Hu X, Wang Y, Gu H, Liu J, Liu Z, Li Y, Jin J, Wang G*. Changes in soil microbial functions involved in the carbon cycle response to conventional and biodegradable microplastics. Applied Soil Ecology. 2024. 195. 105269.
论文链接:
https://doi.org/10.1016/j.chemosphere.2023.140762
https://doi.org/10.1016/j.apsoil.2023.105269
附件下载:
吉公网安备22017302000214号