东北地理所在微塑料对土壤碳氮转化影响的微生物机制方面取得研究进展
微塑料通常指粒径小于5mm的塑料纤维、碎片或颗粒等,其在土壤生态系统中的广泛分布成为全球性土壤环境污染热点问题。碳和氮是陆地土壤生态系统中的重要元素,其循环过程的变化会影响温室气体排放及碳氮养分形态。
为深入了解微塑料对稻田土壤生态系统中碳氮转化的影响机制,研究人员基于室内模拟实验体系,利用微生物宏基因组测序和酶活性检测技术,对传统(低密度聚乙烯,LDPE;聚丙烯,PP)和生物可降解(聚乳酸,PLA)微塑料以及生物炭(BC)单独或混合添加处理条件下土壤理化性质、温室气体排放、微生物组成和功能活性等关键指标变化进行对比分析。结果发现,微塑料添加通过改变土壤微生物群落结构、功能基因丰度和转化酶活性,进而影响土壤碳、氮养分形态和含量以及CH4、CO2和N2O等温室气体排放特征。

图1 不同微塑料处理下土壤细菌门和差异细菌门相对丰度变化
LDPE与BC添加均会影响CH4和N2O排放相关的微生物功能基因。二者通过提高土壤pH值、降低土壤氧化还原电位和增加mcrA基因丰度,从而促进土壤中CH4排放。反硝化功能基因norB和narG在调节土壤N2O排放方面发挥重要作用。

图2 不同微塑料处理下土壤碳氮循环相关功能基因丰度变化
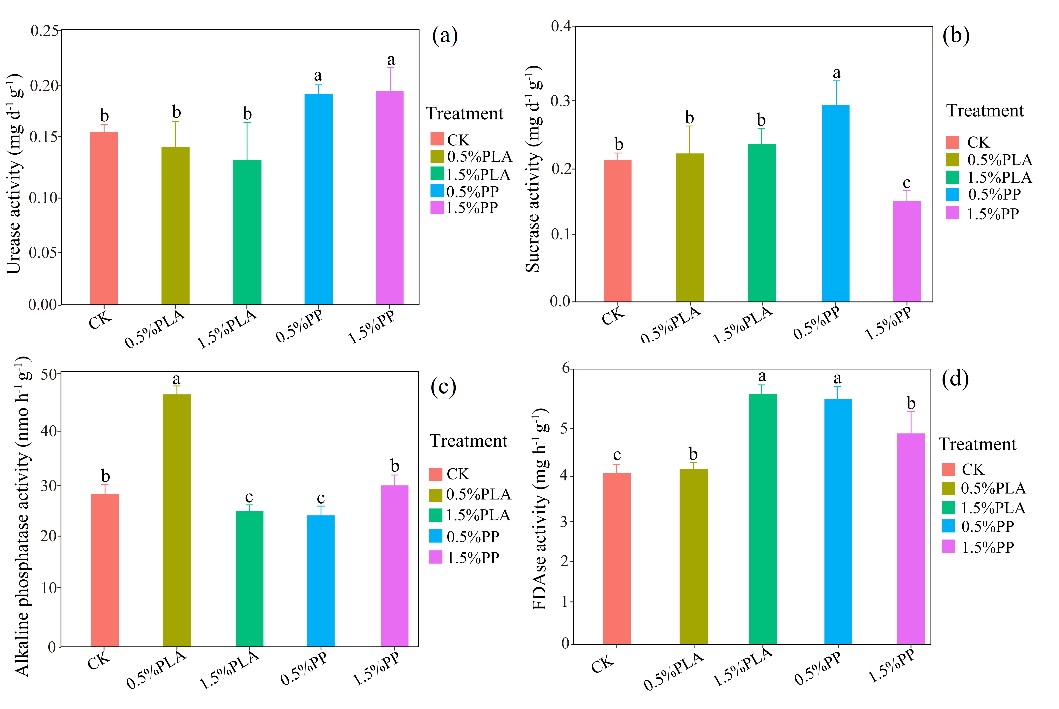
PLA和PP添加提高了土壤FDAse活性,而对脲酶、蔗糖酶和碱性磷酸酶活性的影响取决于微塑料的类型和剂量。酸杆菌门(Acidobacteriota)、厚壁菌门(Firmicutes)、髌骨菌门(Patescibacteria)和放线菌门(Actinobacteriota)对土壤酶活性产生显著影响。不同类型的微塑料尤其是PLA能够改变土壤化学性质,导致土壤细菌群落结构发生变化,并影响纤维素分解和尿素分解代谢相关的功能基因丰度。

图3 微塑料影响下土壤酶活性变化
研究结果对于正确评估农田土壤系统中微塑料污染的生态风险提供了理论支撑。相关论文发表于生态环境领域知名SCI期刊Science of The Total Environment和Chemosphere上。研究工作主要由湿地生物与环境学科组硕士研究生张之钰、王文锋研究员和武海涛研究员等共同完成。该研究得到了国家重点研发计划(2022YFF1300900)、国家自然科学基金(U20A2083、42371090)、吉林省科技发展计划项目(20230101348JC)、中国科学院东北地理与农业生态研究所青年科学家小组项目(2023QNXZ05)等项目的共同资助。
论文目录:
3. Wang, W., Zhang, Z., Gao, J., Wu, H.* (2024). The impacts of microplastics on the cycling of carbon and nitrogen in terrestrial soil ecosystems: Progress and prospects. Science of the Total Environment, 10.1016/j.scitotenv.2024.169977.
附件下载:
吉公网安备22017302000214号