东北地理所在解析长期气候变暖下黑土有机碳稳定的分子机制方面取得进展
黑土含有大量有机碳,其对气候变化非常敏感。土壤有机碳的稳定机制主要包括物理保护(团聚体的闭蓄作用)、化学保护(矿物的吸附作用)和生化保护(底物驱动的生物速率限制)。气候变化会间接影响土壤团聚体稳定性,但是调控团聚体稳定性的主要因素仍有争议。团聚体结合碳是评估土壤碳固定的敏感指标之一。在土壤团聚体的不同粒级中,作为主要粘合剂的物质会降低生物可及性,这在土壤有机碳积累和稳定中起关键作用。因此,了解土壤有机碳的化学成分对于提供有关有机碳在分子水平上积累和稳定的生化保护机制信息至关重要。
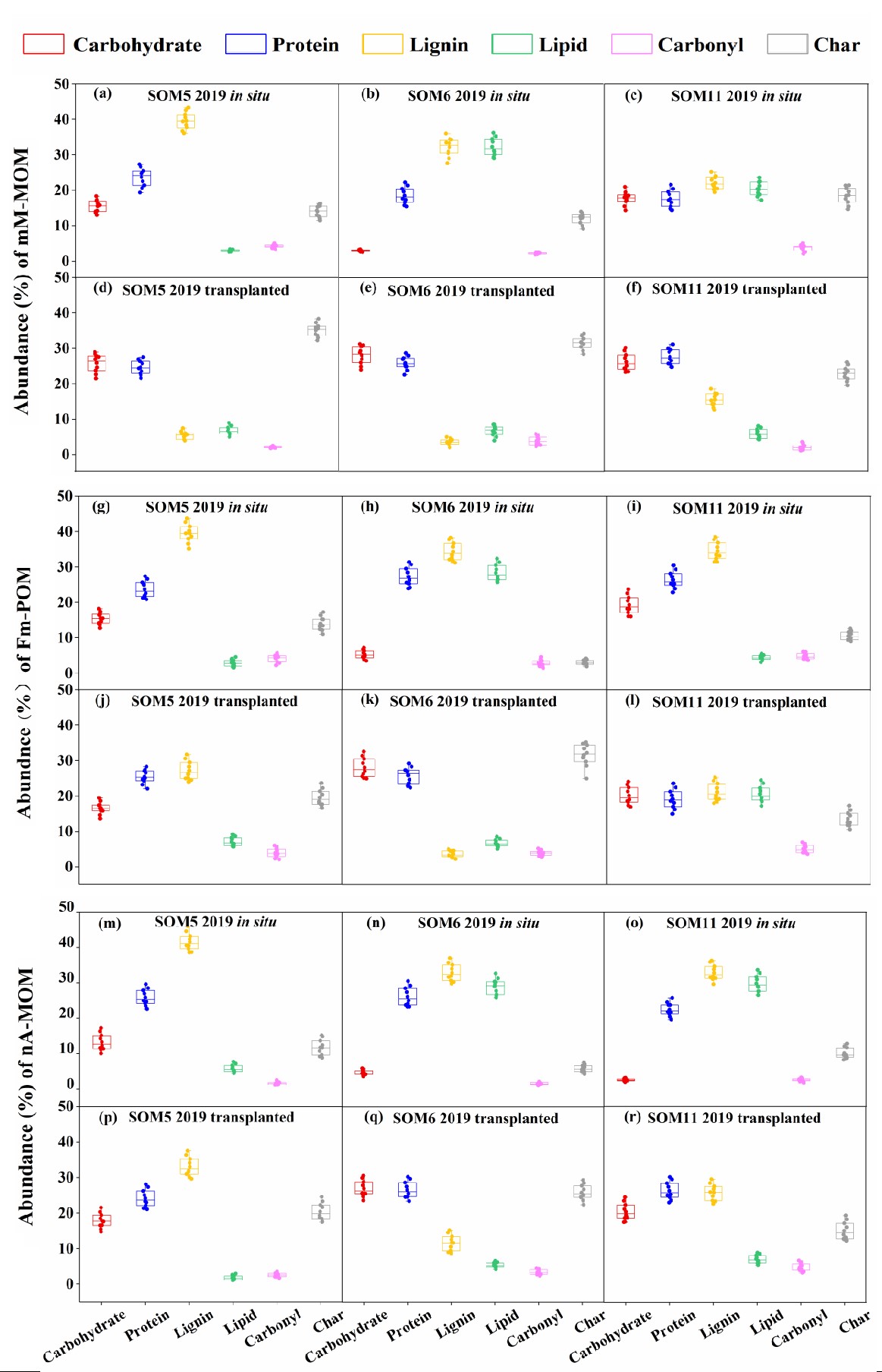
为此,中国科学院东北地理所土壤资源与利用学科组科研人员以2004年建立的模拟气候变暖的空间移位试验为研究对象,将初始不同有机质含量的黑土从高纬度空间移位到低纬度,利用土壤团聚体的物理-化学联合(团聚体-密度)分级、傅里叶变换红外光谱、核磁共振和分子混合模型等手段,探索了长期气候变暖对黑土活性和惰性有机碳组分的含量、分子结构和团聚体稳定性的影响及其潜在机制。研究结果发现,长期气候变暖会提高初始有机质含量较高的黑土有机碳含量,增加黑土溶解性有机碳、游离微团聚体有机碳和非团聚的粉黏粒有机碳含量;但是会降低易氧化有机碳、微生物生物量碳、“大团聚体中-微团聚体内的粉黏粒”有机碳含量以及土壤团聚体稳定性。气候变暖增加了“游离微团聚体”和“非团聚的粉黏粒组分”中颗粒有机质的比例和有机碳含量,却降低了“大团聚体中-微团聚体内的粉黏粒组分”的比例和有机碳含量;更重要的是,土壤团聚体稳定性与以上三种组分中的碳水化合物含量呈正比,而与其木质素含量呈反比(图1)。研究结果说明土壤大团聚体和非团聚的粉黏粒有机质中矿物结合的化学保护,以及游离微团聚体内颗粒有机质中闭蓄作用的物理保护可能是长期气候变化下黑土有机碳稳定的主要机制(图2)。

图1 长期气候变化下核磁共振测定和分子混合模型计算的分子化合物相对丰度
图2 长期气候变化下土壤团聚体稳定性预测因子结构方程模型
研究成果近期发表在农林科学国际期刊《Geoderma》上,东北地理所土壤资源与利用学科组特别研究助理周萌为论文第一作者,农田分子生态学科组刘晓冰研究员为通讯作者。研究得到国家重点研发计划项目(2021YFD1500700)、中国科学院战略性先导科技专项(XDA28070302)、“一带一路”国际科学组织联盟专业成员项目(ANSO-PA-2020-12)和黑龙江省自然科学基金优秀青年项目(YQ2023D007)联合资助。
论文信息:Meng Zhou, Yang Xiao, Xingyi Zhang, Yueyu Sui, Leilei Xiao, Jinkuo Lin, Richard M. Cruse, Guangwei Ding, Xiaobing Liu*. Warming-dominated climate change impacts on soil organic carbon fractions and aggregate stability in Mollisols. Geoderma, 2023, 438: 116618.
论文链接:https://doi.org/10.1016/j.geoderma.2023.116618
附件下载:
吉公网安备22017302000214号