东北地理所在东北地区耕地开垦对土壤有机碳储量影响研究中取得进展
土壤有机碳(SOC)是土壤资源的重要组成部分,由于SOC对土壤、水体和粮食等具有重要作用,需要被准确的监测。一项研究表明,全球的SOC储量每年损失约1.9 Pg。中国是产粮大国,粮食产量约占全球总产量的22%。当前除中国东北地区外,其他地区的耕作SOC储量呈上升趋势,东北地区位于世界四大黑土区之一,黑土代表了土壤的“高肥力”。另一方面,耕地开垦严重影响了SOC储量,大量的研究发现,森林开垦会导致8.5%-42%的SOC流失,草地开垦则导致了12%-59%的SOC流失。因此,对东北地区耕作土壤的SOC储量监测是必要的。高效、快速和低成本的遥感技术应用于具有裸土窗口期的东北地区SOC监测是非常合适的。
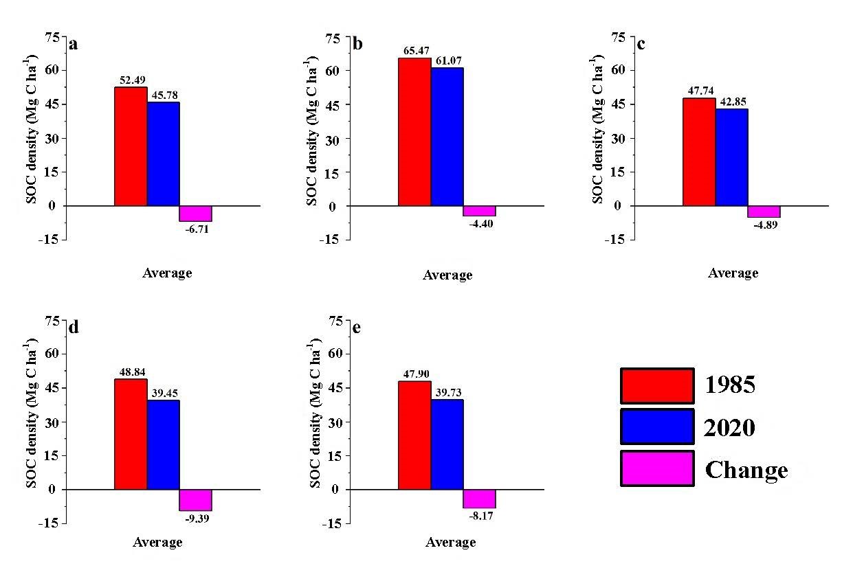
当前的SOC遥感监测研究有很多,但对于东北地区受耕地开垦影响而导致土壤有机碳储量的变化研究很少。本研究基于东北地区2140个耕地表层土壤样本,同时,在GEE云平台获取1985-2020年的Landsat影像,通过土地利用数据提取不同开垦年限的边界,使用概率混合随机森林模型完成35年来东北地区耕作SOC制图。得到持续耕作35年和不同开垦年限导致SOC储量流失的明确含量。研究表明,35年的耕作导致东北地区SOC含量降低约3.07 g kg-1,SOC密度降低约6.71 Mg C ha-1,SOC储量降低约0.32 Pg;从1985到2020年,约64%的耕地SOC呈负增长;东北地区耕地开垦轨迹从高SOC向低SOC含量变化,在2005年以后,没有耕地开垦在黑土上;湿地开垦对SOC的影响最大,湿地开垦31-35年后,SOC密度和储量分别降低16.05 Mg C ha-1和0.005 Pg;森林开垦26-30年后,SOC密度和储量分别降低8.33 Mg C ha-1和0.01 Pg。本研究的结果对东北地区SOC变化研究提供参考,也呼吁保护黑土和自然生态系统。
该研究成果发表在国际期刊Global Change Biology上,本研究由中国科学院东北地理与农业生态研究所王翔博士研究生、李思佳博士、王丽萍博士研究生、郑淼硕士研究生、王宗明研究员和宋开山研究员共同完成,王翔为第一作者,宋开山研究员为通讯作者。该研究得到了中国科学院战略先导专项(XDA28050400)和高分辨率地球观测系统重大项目(71-Y50G10-9001-22/23)共同资助。
论文信息如下:
Xiang Wang, Sijia Li, Liping Wang, Miao Zheng, Zongming Wang, Kaishan Song*. Effects of cropland reclamation on soil organic carbon in China's black soil region over the past 35 years. Global Change Biology, 2023, 00, 1-18. https://doi.org/10.1111/gcb.16833
图1东北地区35年来土壤有机碳密度变化(a代表东北地区;b代表黑龙江省;c代表吉林省;d代表辽宁省;e代表内蒙古)

图2东北地区耕地开垦结果(蓝色边框表示不同开垦年限大范围分布区域)
附件下载:
吉公网安备22017302000214号