东北地理所在土壤有机碳热稳定性研究方面取得新进展
土壤有机碳的稳定性影响土壤固碳潜力。如何提取土壤活性与稳定性碳组分用以定量表征土壤有机碳稳定性,是土壤固碳研究领域的关键科学问题。当前, 提取土壤有机碳活性及稳定性组分的方法多样,包括物理、化学及生物手段,导致结果难以比较,同时存在耗时长、成本高及操作步骤繁琐等缺点,亟需一种高效、可信度高且应用广泛的测定方法。对比分析不同热分解技术的优缺点, 包括热裂解气相-质谱联用测定技术、热重分析技术、差示扫描量热分析技术及Rock-Eval(RE)热分解方法,普遍认为RE方法操作简单、耗时短、成本低、结果易于分析,可信度较高,可以很好地表征土壤有机碳稳定性,有利于土壤有机碳研究的横向对比。
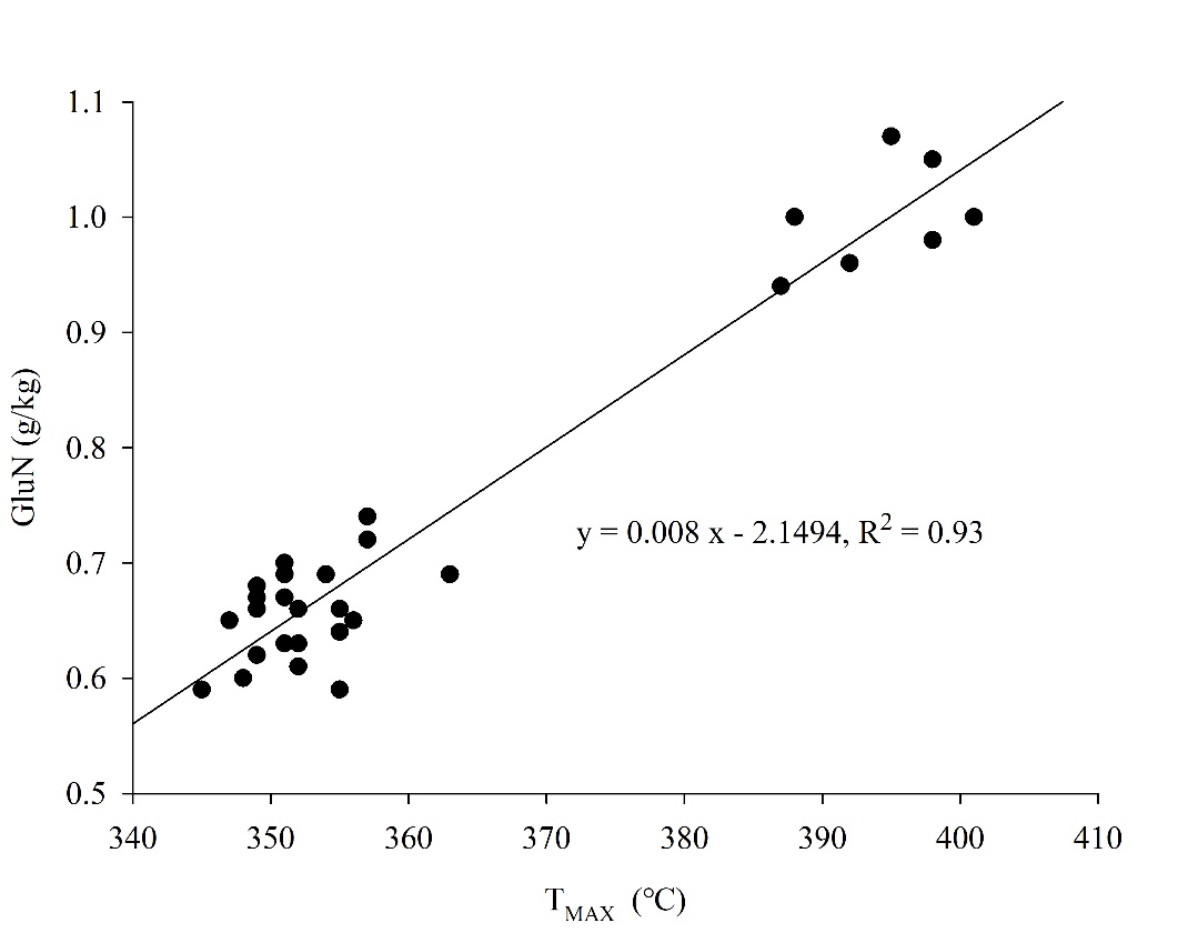
中科院东北地理所黑土有机碳与保护性耕作学科组科研人员依托保护性耕作长期定位实验(建于2001年)在国内首次开展了相关研究,包含免耕玉米-大豆轮作(NTCS)、秋翻玉米-大豆轮作(MPCS)、免耕玉米连作(NTCC)、秋翻玉米连作(MPCC)、常规耕作玉米连作且秸秆不还田(CTCC)5个处理。采集了不同深度的土壤样品,测定其土壤热稳定性(图1),计算RE相关指标,同时与土壤异养呼吸及微生物残体进行相关分析。RE方法分为热解和氧化两个阶段包括S1-S5五个阶段,具有多个相关指标,TMAX(℃)代表在S2热解阶段释放的富氢化合物达到峰值时对应的温度,可作为指示土壤有机碳成熟度的指标。HI表示在土壤有机碳中富氢化合物的相对含量,OIRE6表示在土壤有机碳在S3阶段释放的O2相对含量,代表土壤有机碳的相对氧化状态。T50代表在氧化阶段(S4)释放的CO2达到该部分总释放值50%时的温度,用来表征稳定性碳库。研究结果表明,耕作方式对RE指标影响很大(TMAX、HI、T50),但是作物轮作对其无显著影响,其中免耕显著提高了土壤表层的有机碳热稳定性(TMAX)。RE指标(HI)在短期室内培养实验中(<100天)可以很好地表征土壤异养呼吸情况,也在国际上首次发现TMAX指标与真菌残体(GluN)有很高的相关性(R2=0.93)(图2)。本项研究为未来RE方法在国际上的推广应用提供了有效的数据支撑。

图1 RE方法测定图谱(以免耕玉米大豆轮作及秋翻玉米大豆轮作0-5 cm土层为例)

图2 真菌残体GluN与TMAX线性回归关系
相关研究结果以“Linking Rock-Eval parameters to soil heterotrophic respiration and microbial residues in a black soil”为题发表在国际土壤学领域权威期刊Soil Biology and Biochemistry上。东北地理所黑土有机碳与保护性耕作学科组助理研究员张延为第一作者,梁爱珍研究员与加拿大农业及农业食品部Edward Gregorich为共同通讯作者。该研究得到了中国科学院战略性先导科技专项(XDA28080201)、国家自然科学基金(42101277. 41877095)等项目的资助。
论文信息:Zhang, Y., Gao, Y., Zhang, Y., Huang, D. D., Li, X. J., McLaughlin, N., Zhang, X. P., Chen, X. W., Zhang, S.X., Gregorich, E.*, Liang, A. Z.* Linking Rock-Eval parameters with soil heterotrophic respiration and microbial residues in black soil. Soil Biology and Biochemistry, 2023. 178. 108939.
https://doi.org/10.1016/j.soilbio.2023.108939
附件下载:
吉公网安备22017302000214号