东北地理所在大气CO2浓度和温度升高对黑土区水稻氮吸收以及根际氮矿化研究方面取得进展
大气CO2浓度和温度升高是未来气候变化最主要的特征。氮素作为水稻生长发育过程中必需的营养元素之一,对产量形成至关重要。然而,在大气CO2浓度和温度升高条件下,有关黑土区水稻对不同来源(土壤和肥料)氮素的吸收及其与产量变化关系的研究较少,CO2和温度双升高如何影响水稻根际土壤氮矿化和相关微生物作用机制也仍不清楚。
东北地理所农田分子生态学科组科研人员选用东北地区主栽水稻品种五优稻1号谱系中不同年代培育的5个水稻品种为试验材料,利用OTC模拟CO2升高(700 ppm)和升温(比环境气温高2℃)条件,采用15N标记技术示踪水稻吸收来源于肥料的氮素,以解析气候变化条件下水稻氮源与产量的关系;采用根箱试验和15N-13C双标技术,探究了大气CO2和温度升高对水稻根际氮矿化和相关功能基因丰度的影响。结果发现:在不施氮条件下,大气CO2和温度升高使5个品种水稻的平均产量和氮吸收分别增加28.4%和25.2%;在施氮条件下,水稻平均产量和氮吸收分别增加23.0%和15.3%(图1,图2)。气候变化条件下,水稻增加的氮吸收主要来自土壤,并且与水稻增产量呈显著正相关关系(图3);而肥料氮的吸收量未发生显著变化。研究还发现,氮肥施用促进水稻对土壤氮素的吸收,而水稻品种改良并没有改变水稻氮素吸收对气候变化的响应。这表明气候变化条件下会加快黑土区水稻土壤氮库的消耗。因此,培育高氮肥料利用率的水稻品种可能是未来黑土区水稻生产应对气候变化的有效策略。

图1 大气CO2浓度和温度升高条件下5个品种水稻的生物量(A)和产量(B)

图2 大气CO2浓度和温度升高条件下,5个品种水稻的总氮吸收以及来源土壤和肥料的氮吸收

图3 大气CO2浓度和温度升高条件下,氮吸收增加量与产量增加的相关性
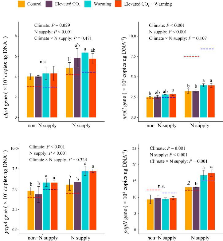
在氮矿化研究方面,发现大气CO2和温度升高显著提高了水稻的氮吸收量和氮矿化量,但并没有显著提高氮矿化效率(图4);大气CO2和温度共同升高使得水稻根际土壤微生物量碳(MBC)和微生物量碳(MBN)均显著升高,同时也显著增加了根际土壤氮矿化基因chiA、pepA、pepN和尿素水解基因ureC的丰度(图5)。表明大气CO2和温度的共同升高促进了水稻根际微生物介导的土壤氮矿化过程,可能会增加土壤有机质分解的风险。

图4 大气CO2和温度升高条件下水稻土壤氮矿化量和氮矿化效率

图5 大气CO2和温度升高条件下chiA、ureC、pepA和pepN基因的丰度
上述研究成果近期发表在一区TOP期刊Agricultural and Forest Meteorology和Biology and Fertility of Soils上,东北地理所博士研究生张锦源为论文的第一作者,于镇华副研究员和金剑研究员为通讯作者。研究得到了黑龙江省自然科学基金重点研发项目(ZD2021D001),国家自然科学基金(42177435),中国科学院战略先导项目(XDA28020201)和中国科学院青年创新促进会(2019233)等项目联合资助。
论文信息:
Jinyuan Zhang, Yansheng Li, Zhenhua Yu*, Jonathan Adams, Caixian Tang, Guanghua Wang, Xiaobing Liu, Junjie Liu, Ashley Franks, Judong Liu, Shaoqing Zhang, Jian Jin*. (2022). Elevated atmospheric CO2 and warming enhance the acquisition of soil-derived nitrogen rather than urea fertilizer by rice cultivars. Agricultural and Forest Meteorology. 324, 109117.
Jinyuan Zhang, Zhenhua Yu, Yansheng Li, Guanghua Wang, Xiaobing Liu, Caixian Tang, Jonathan Adams, Junjie Liu, Judong Liu, Shaoqing Zhang, Junjiang Wu, Jian Jin*. (2022). Co–elevation of CO2 and temperature enhances nitrogen mineralization in the rhizosphere of rice. Biology and Fertility of Soils.
论文链接:
https://doi.org/10.1016/j.agrformet.2022.109117
https://link.springer.com/article/10.1007/s00374-022-01667-4
附件下载:
吉公网安备22017302000214号