东北地理所在绵羊胃肠道线虫感染与宿主消化代谢方面取得研究进展
胃肠道线虫(Gastrointestinal nematodes,GINs)已被证实是降低肉羊生长性能、引发羊寄生虫病、降低羊肉品质的重要致病性内寄生虫。其中,捻转血矛线虫(Haemonchus contortus)是一种寄生于反刍动物皱胃和小肠的吸血性线虫,它会导致宿主羊出现消化紊乱、胃肠道发炎、腹泻、消瘦以及贫血等不良反应。已有研究表明,羔羊感染GINs后日粮蛋白质消化利用率显著降低。然而,GINs感染下羊胃肠道微生物菌群变化与消化代谢改变之间的复杂关系尚不清晰,有待进一步研究。
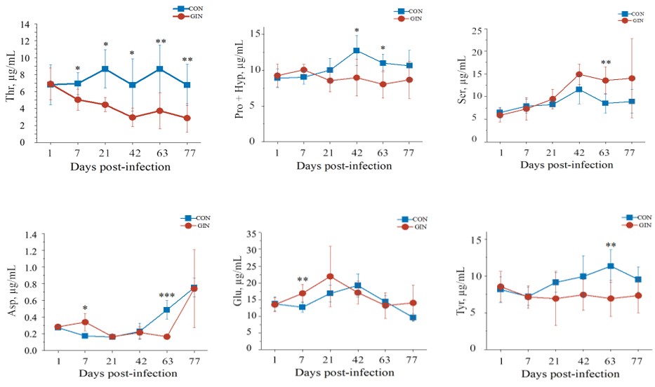
为此,中国科学院东北地理与农业生态研究所草地农牧业学科组成员研究了H. contortus感染对宿主羔羊蛋白质消化、氨基酸代谢、胃肠道微生物组成的影响。研究发现:H. contoutus 感染降低了羔羊采食量和日粮营养物质的表观消化率(尤其是日粮中蛋白质和脂质的表观消化率),并降低了羔羊的生长性能。羔羊蛋白质吸收受到影响,瘤胃胃蛋白酶和回肠胰蛋白酶活性显著降低,血浆氨基酸谱变化显著。例如,宿主羔羊血浆中苏氨酸和脯氨酸浓度显著下降,血浆中天冬氨酸、谷氨酸、丝氨酸和酪氨酸浓度显著增加,从而弥补由于H. contortus 定植、发育和繁殖造成的宿主羊蛋白质和氨基酸损失(图1)。感染H. contortus的羔羊的生理代谢和血液生化指标的改变与胃肠道微生物群落组成密切相关。与未感染羊相比,感染羊胃肠道中与碳水化合物、蛋白水解相关的菌属丰度显著增加,例如Firmicutes、Ruminococcoceae、Lactobacillaceae、Lactobacillus以及Prevotella等(图2), 并且羔羊胃肠道中与蛋白质、碳水化合物以及脂肪等营养物质代谢相关的KEGG通路均显著增加(表1)。本研究结果为系统解析GINs感染和寄生与宿主羊营养代谢的关系提供了理论依据。
以上研究结果发表在国际期刊Frontiers in Microbiology上。博士研究生向海为论文的第一作者,钟荣珍研究员为通讯作者。本研究得到了国家自然科学基金面上项目(31972595)、中国科学院A类战略先导专项(XDA26040305)、吉林省科技发展计划(20200201140JC、20200602016ZP)以及中国科学院青年创新促进会优秀会员(Y201949)等项目的联合资助。
图1 Haemonchus contortus感染对宿主羔羊血浆氨基酸浓度的影响(部分)

图2 Haemonchus contortus感染后宿主羔羊变化显著的菌属种类(部分)

表1 Haemonchus contortus感染后宿主羔羊胃肠道微生物KEGG通路的改变
论文信息如下:Hai Xiang, Yi Fang, Zhiliang Tan and Rongzhen Zhong*. 2022. Haemonchus contortus infection alters gastrointestinal microbial community composition, protein digestion and amino acid allocations in lambs. Frontiers in Microbiology, 12, 797746. https://doi.org/10.3389/fmicb.2021.797746.
附件下载:
吉公网安备22017302000214号