东北地理所在气候变化影响黑土区农田土壤磷转化方面取得进展
气候变化深刻影响农田生态系统养分循环。磷素(P)作为农田生态系统中第二重要的植物营养元素,能够调节作物对气候变化的适应性。因此,研究作物磷吸收和土壤磷动态对气候变化下维持农业生态系统可持续性至关重要。然而,大气CO2浓度和温度升高对作物生长和土壤磷组分的影响,以及相关微生物机制鲜有研究。
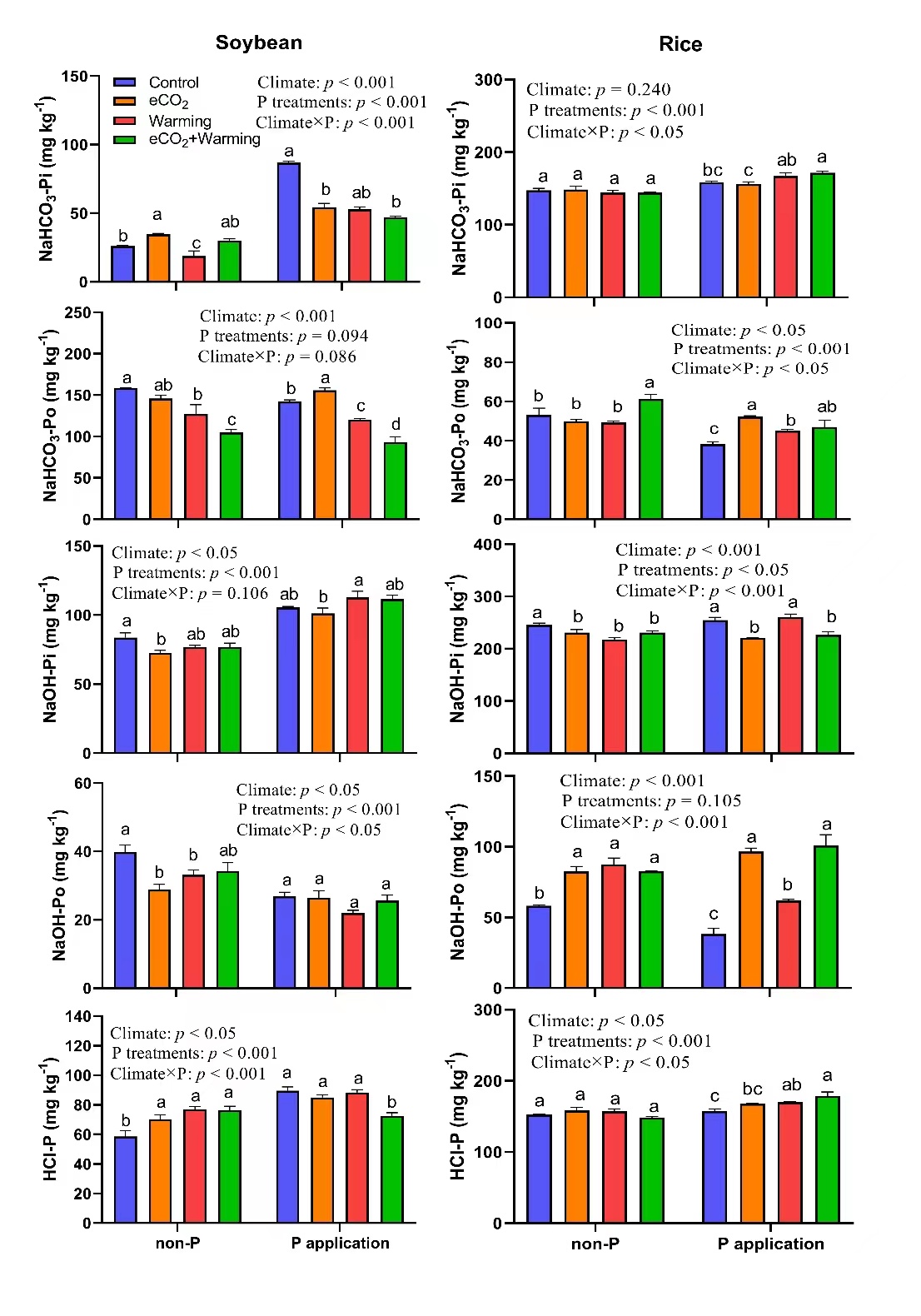
中国科学院东北地理与农业生态研究所农田分子生态学科组研究人员,利用开顶式气候室(OTC)模拟大气CO2浓度和温度升高,种植大豆和水稻在施磷肥和不施磷肥条件下作物磷吸收及根际土壤磷转化相关微生物分子生态特征。研究发现,在施磷肥和不施磷肥条件下,大气CO2浓度和温度升高分别增加大豆磷吸收23%和29%,水稻磷吸收34%和13%。因此,施磷条件下大豆磷吸收对气候变化的响应更为明显,而水稻则是在不施磷条件下更为显著。而且,大气CO2浓度和温度同时升高降低大豆根际土壤有机磷含量,却增加水稻根际土壤有机磷含量(图1)。大豆根际有机磷含量与酸性磷酸酶活性呈负相关关系,然而在水稻根际呈正相关关系。因此,气候变化影响大豆根际土壤磷转化以有机磷矿化为主,而水稻则以磷固定为主。此外,大气CO2浓度和温度同时升高增加了大豆施磷土壤磷转化相关基因丰度,如phoD(碱性磷酸酶合成基因)、phoC(酸性磷酸酶合成基因)、pstS(磷酸盐特异性转运蛋白酶)和phnX(磷酸酯酶基因),提出大豆根际有机磷的矿化是磷转化的主要生物学过程,而水稻根际土土壤磷转化主要以磷固定为主,而且根际土壤有效磷主要来自于无机磷的活化(图2)。此研究揭示了作物—土壤—微生物系统磷循环的相关机理,为气候变化条件下不同作物磷肥管理策略提供了理论基础。

图1 CO2浓度和温度升高对大豆和水稻根际土壤磷组分的影响

图2 CO2浓度和温度升高对大豆和水稻磷吸收和土壤磷转化的影响
相关成果在国际环境领域重要期刊Science of the Total Environment上发表,中国科学院东北地理与农业生态研究所博士生郭丽丽为论文第一作者,金剑研究员为论文通讯作者。研究成果得到黑龙江省自然科学基金重点项目(ZD2021D001)和中国科学院战略先导项目(XDA28020201)的资助。
论文信息:Lili Guo, Zhenhua Yu, Yansheng Li, Zhihuang Xie, Guanghua Wang, Xiaobing Liu, Junjie Liu, Judong Liu, Jian Jin. Plant phosphorus acquisition links to phosphorus transformation in the rhizospheres of soybean and rice grown under CO2 and temperature co-elevated. Science of the Total Environment, 2022, 823, 153558.
附件下载:
吉公网安备22017302000214号