东北地理所在大兴安岭泥炭地磷形态及其古植被重建潜力方面取得进展
磷是陆地系统中重要的生产力限制养分,无机磷和有机磷形态分布是土壤主要化学特性之一,与植被类型和生态系统结构和功能密切相关。在泥炭地发育过程中,磷通常被封存在植被残体或以稳定的化学形态逐渐累积在泥炭中。但是,磷累积速度不是恒定的,不同发育或演替历史会导致磷不同形态的分布和积累差异。已有研究发现,磷形态受植被群落、微生物、土壤条件和气候条件的综合影响,在早期、中期和后期等不同演替阶段表现出不同的含量和百分比特征。磷形态在沉积记录方面的应用多集中在分析和记录湖泊或河流沉积物中人类活动信息和上游磷源信息,但应用在泥炭地中作为环境指标的相关研究极其缺乏。
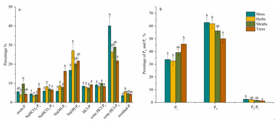
为了探究磷形态记录泥炭地植被演替历史的能力,中科院东北地理所湿地演化与生态功能学科组的科研人员在大兴安岭北部选取4种优势物种(藓类、草本、灌丛和乔木)下的表土,并钻取泥炭柱芯。探究表土中不同优势物种下磷形态的分布规律,筛选合适磷形态作为指标,同时应用到泥炭柱芯每1厘米磷形态的分布反演出植被演替历史。研究发现,虽然泥炭地中磷形态以有机磷为主,但磷在不同优势植被下的差异主要集中在无机磷形态和较为稳定的有机磷形态上,其中乔木下土壤无机磷显著高于其它植被,而藓类植被有利于土壤有机磷(尤其稳定有机磷)的赋存。
研究同时发现表土藓类、草本和灌丛土壤磷形态的分布与不同深度柱芯中磷形态的分布存在密切关系,初步确定了柱芯中磷累积源为乔木以外的三种植被。通过判别分析最终选择了4种磷形态(NaHCO3-Pi, NaON-Pi, conc.HCl-Po和Pi)对泥炭柱芯植被演替历史重建。重建结果应用微体古生物记录进行验证,与该泥炭柱芯的孢粉和植物残体记录相关性较高。

图1 不同植被群落下表土磷形态百分含量

图2 磷形态重建藓类、草本和灌丛演替历史以及孢粉、植物残体记录
相关成果发表在国际期刊Journal of Environmental Management上,本研究由东北地理所李蕴慧博士,王国平研究员等在科技部重点研发专项(No.2016YFA0602301),国家自然科学基金(No.42171103,42101108,41911530188)等项目共同资助下完成。
论文信息:
Yunhui Li, Chuanyu Gao, Hanxiang Liu, Dongxue Han, Jinxin Cong, Xiao Li, Guoping Wang*. Distribution of phosphorus forms in surface soils of typical peatlands in northern Great Khingan Mountains and its potential to reconstruct paleo-vegetations. Journal of Environmental Management, 2022, 302,114033. http://doi.org/10.1016/j.jenvman.2021.114033
附件下载:
吉公网安备22017302000214号