东北地理所在苏打盐碱地改良种稻对土壤理化特征影响和安全性评价方面取得重要进展
土壤盐碱化是松嫩平原西部长期面临的主要生态问题。近年来,改良种植水稻成为西部盐碱地治理与农业利用的主要途径。随着各种土壤改良调理剂的广泛应用,对土壤的改良效果如何以及改良剂会不会带来土壤二次污染的潜在风险,这些问题成为公众的普遍关注,亟待用具体数据给予科学的回答。
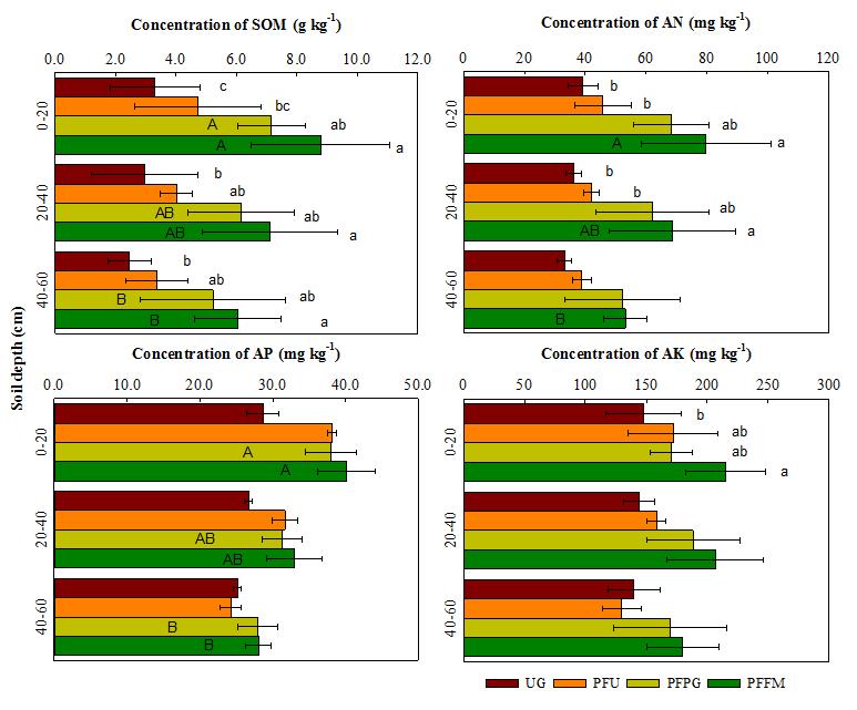
近日,东北地理所科研人员利用吉林大安农田生态系统国家野外科学观测研究站(简称“大安站”)多年改良的水稻田,通过连续取样分析,研究发现盐碱荒地改为水稻田后,通过多年耕作(不进行土壤改良)可以降低耕层(0-20cm)盐碱含量,增加土壤有机质和速效氮磷养分的显著效果;采用磷石膏或有机肥进行土壤改良后,耕层土壤盐碱降低和养分提升作用显著优于不改良处理。与对照(盐碱荒地)相比,不改良直接种稻、磷石膏改良后种稻和有机肥改良后种稻3种处理方式的耕层土壤钠离子含量分别下降42.9%、61.5%和60.9%;碳酸盐含量下降18.9%、63.2%和57.9%;土壤pH下降0.57、1.05和1.30个单位,盐分电导率(EC1:5)下降18.3%,49.1%和48.3%,碱化度下降47.2%、66.5%和72.5%。研究同时深入分析了土壤盐分离子含量与盐碱化参数的关系以及盐碱参数与养分指标的关系,指出土壤pH和EC1:5与盐分离子含量具有极显著(P<0.01)的相关关系,且二者测试相对容易,可以作为土壤盐碱化程度评价的代表性指标;研究进一步揭示了土壤pH,交换性钠和碳酸根含量是抑制土壤肥力提升的主要障碍因子。研究也分析了土壤As、Pb、Cd、Cr、Hg等重金属含量情况,参照《土壤环境质量标准》,发现改良处理的盐碱地稻田土壤在重金属含量方面符合我国土壤环境质量一级标准。

图1 不同改良耕作处理10年的土壤盐分离子含量变化

图2不同改良耕作处理10年的土壤有机质和速效养分含量变化

图3 苏打盐碱土盐分含量与养分含量的关系
相关研究成果发表在土壤学Top期刊Soil & Tillage Research(IF 5.374)上,东北地理所所黄立华研究员为论文的第一和通讯作者,相关研究得到国家自然科学基金面上项目(41977148)、国家重点研发计划项目(2016YFD0200303)和吉林省科技攻关项目(20190303090SF)的资助。
论文信息:Lihua Huang*, Ying Liu**, Jorge F.S. Ferreira, Mingming Wang, Jia Na, Jinxin Huang, Zhengwei Liang. Long-term combined effects of tillage and rice cultivation with phosphogypsum or farmyard manure on the concentration of salts, minerals, and heavy metals of saline-sodic paddy fields in Northeast China, Soil & Tillage Research, 2022, 215, 105222. doi.org/10.1016/j.still.2021.105222
附件下载:
吉公网安备22017302000214号