东北地理所在城市森林康养效益评估及环境因子驱动研究方面取得进展
城市森林是美丽城市中不可或缺的景观要素,充分发挥城市森林的康养效益则是人民群众对美好生活的向往之一。2019年3月,国家林业和草原局等四部委联合发文促进森林康养产业发展,建议以森林生态环境为基础,与医学、养生学有机融合,使人民群众更加充分的享有森林康养服务。
目前,有关城市森林康养效益的评估研究,多以大量志愿者参与城市森林体验过程为主要形式,通过调查问卷反馈的方法量化参加人员对城市森林环境的感性评价,不仅费时费力,而且由主观评价所引起的系统误差无法察觉,更难以支持进一步的驱动机制分析。
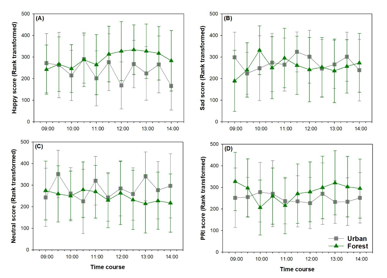
东北地理所城市森林与湿地学科组研究人员打破传统的思维惯式,借助人工智能开发过程中机器深度学习的手段,利用社交网络云端及国家尺度上实拍的图片信息大数据,构建适用于中国人在城市森林中微表情分析的技术体系,旨在通过对游客面部微表情的识别进一步量化和分析其在城市森林中情绪和心情的变化。研究发现:在中午时段,与长春市南湖公园附近繁华的街道相比,在城市森林公园中的步行体验会引起游客面部更多的开心表情,并会从总体上抑制一天当中面部木讷的表情。与实时环境因子监测结果进行多元回归分析表明,游客脸上开心的表情主要与森林光谱中更多的绿光有关,而乐观积极的表情的形成主要受森林中静谧湿润的环境驱使而形成。
该研究由东北地理所魏红旭副研究员(第一作者)、何兴元研究员(通讯作者)、美国Wisconsin大学Stevens Point校区Richard J. Hauer教授等共同完成。成果发表在Urban Forestry & Urban Greening期刊上。该研究由中国科学院战略性先导科技专项(A类)子课题任务(XDA2307050302)、国家自然科学基金面上项目(41971122)、国家重点研发计划项目(2016YFC0500300)、中国科学院科技服务网络计划(STS计划)区域重点项目(KFJ-STS-QYZD-044; KFJ-STS-ZDTP-048)和中国科学院海外留学奖学金等项目共同资助。
论文信息:Hongxu Wei, Bingqian Ma, Richard J. Hauer, Chunyue Liu, Xingyuan He. Relationship between environmental factors and facial expressions of visitors during the urban forest experience. Urban Forestry & Urban Greening, 2020, 53: 126699.
链接:https://doi.org/10.1016/j.ufug.2020.126699

图1. 利用计算机深度学习技术分识别分析志愿者在城市森林(左图)和附近街区(右图)中表情值的过程界面。

图2. 参与者面部开心(A)、悲伤(B)、木讷(C)和乐观积极表情(B)的秩排序动态在城市森林与附近街区之间的差别。
附件下载:
吉公网安备22017302000214号