• 首 页
  • 所况介绍
    • 机构简介
    • 所长致辞
    • 现任领导
    • 历任领导
    • 学术委员会
    • 学位委员会
    • 历史沿革
    • 园区风貌
  • 机构设置
    • 直属机构
    • 科研系统
      • 黑土地保护与利用重点实验室(中国科学院)
      • 湿地生态重点实验室
      • 大豆分子设计育种重点实验室
      • 遥感与地理信息研究中心
      • 区域发展与环境研究中心
    • 管理系统
      • 党委办公室
        • 部门简介
      • 办公室
        • 部门简介
        • 制度文件
      • 科研计划处
        • 部门简介
        • 制度文件
      • 重大项目办公室
        • 部门简介
      • 人事教育处(研究生教育管理部)
        • 部门简介
        • 制度文件
      • 财务处
        • 部门简介
        • 常用信息
      • 条件保障处
        • 部门简介
        • 制度文件
      • 监督审计处
        • 部门简介
      • 农业技术中心综合办公室(含党办)
        • 部门简介
      • 农业技术中心科研计划处
        • 部门简介
      • 农业技术中心人事教育处
        • 部门简介
      • 农业技术中心财务管理处
        • 部门简介
    • 支撑系统
      • 学术期刊中心
      • 信息中心
      • 公共技术中心
    • 野外平台
      • 东北湿地观测研究网络
      • 东北农业监测网络
      • 长春净月潭遥感实验站
  • 人才建设
    • 院士
      • 院士
    • 国家基金委人才
      • 国家杰出青年基金
      • 国家优秀青年基金
    • 院级人才
      • 关键技术人才及技术支撑人才
      • 王宽诚产研人才、区域发展青年学者
      • 青年创新促进会会员
    • 部委人才
      • 农业农村部
      • 国家林草局
    • 兴土人才
      • 基础和应用基础研究类
      • 成果转化类
    • 正高级专业技术人员
      • 支撑系统
      • 管理系统
    • 副高级专业技术人员
      • 支撑系统
      • 管理系统
    • 中级专业技术人员
      • 支撑系统
      • 管理系统
    • 特别研究助理
      • 黑土地保护与利用重点实验室(中国科学院)
      • 湿地生态重点实验室
      • 大豆分子设计育种重点实验室
      • 遥感与地理信息研究中心
      • 区域发展与环境研究中心
    • 博士后
      • 黑土地保护与利用重点实验室(中国科学院)
      • 湿地生态重点实验室
      • 大豆分子设计育种重点实验室
      • 遥感与地理信息研究中心
      • 区域发展与环境研究中心
    • 表格下载
      • 流程
      • 进站
      • 中期
      • 出站
      • 其他
  • 科研成果
    • 概要
    • 获奖
    • 论文
    • 专著
    • 专利
    • 应用技术
    • 标准
  • 合作交流
    • 院地合作
    • 国际交流
  • 研究生教育
    • 概况
    • 招生信息
      • 招生简介
      • 博士招生信息
      • 博士招生目录
      • 硕士招生信息
      • 硕士招生目录
      • 推免硕士生及直博生招生信息
      • 考试大纲及参考书相
      • 硕士试题下载
    • 导师介绍
      • 博士导师
      • 学术型硕士导师
      • 专业型硕士导师
    • 研究生会
    • 管理制度
    • 表格下载
      • 招生用表格
      • 学籍用表格
      • 论文与学位用表格
      • 教师用表格
      • 毕业
      • 联合培养表格
      • 其它
  • 党群园地
  • 科学传播
    • 科普动态
    • 科普文章
    • 科普图片/视频
  • 信息公开
    • 信息公开规定
    • 信息公开指南
    • 信息公开目录
    • 依申请公开
      • 在线申请-公民
      • 在线申请-法人/其他组织
    • 信息公开年度报告
    • 信息公开联系方式
    • 预算决算
  • 新闻动态
    • 重要新闻
    • 综合新闻
    • 党群工作
    • 科研动态
    • 传媒扫描
  • 其他
    • 招聘启事
    • 通知公告
    • 学术报告
    • 联系我们
  • 重大项目管理
    • 国家自然科学基金
      • 中国泥炭地碳库演变规律与稳定性维持机制
      • 黑土农田土壤健康的维持及调控机制
    • 国家重点基础研究
      • 人工草地生产力形成机理与调控途径
    • 国家重点研发计划
      • 主要经济作物分子设计育种
      • 中高纬度湿地系统对气候变化响应
      • 东北苏打盐碱地生态治理关键技术研发
      • 东北典型退化湿地恢复与重建技术与示范
      • 东北黑土区侵蚀沟生态修复关键技术研发与集成示范
      • 哈尔滨-长春城市群大气污染联防联控
      • 长白山水资源高效利用及其安全保障
      • 黑土地侵蚀退化功能重建机制与阻控技术
      • 黑土地耕地质量多尺度天空地立体监测技术与预警系统
      • 东北沼泽湿地生境功能提升技术与应用
      • 黑土地农用土壤质量退化过程与阻控途径
      • 松嫩平原西部苏打盐碱地障碍消减与适生盐碱作物栽培技术和示范
      • 城市生物多样性提升技术与示范
      • 东北典型沼泽植物种源补给与种子萌发诱导技术与应用
      • 湿地生态系统对气候变化的响应、风险评估及生态安全调控
      • 干旱半干旱区典型退化湿地恢复与功能提升关键技术及应用
      • 旱作黑土地保育保护性耕作关键技术研发与示范
      • 黑土地土壤生物资源禀赋配置与生产功能协同提升技术研究与示范
      • 东北黑土侵蚀退化数字化评价与智慧阻控
      • 黑土区资源优化配置与生态景观构建关键技术
      • 东北黑土区典型除草剂高效消减与精准修复技术
    • 科技基础资源调查
      • 中国沼泽湿地资源及其主要生态环境效益综合调查
      • 中国北方内陆盐碱地植物种质资源调查
      • 中国东部农区土壤动物多样性调查
      • 中国主要沼泽湿地植物种质资源调查
      • 中国东北黑土区农田土壤资源与健康状况调查
      • 中国主要天然林区土壤动物多样性调查
  • 专栏
    • 文献资源
    • 分析测试部
    • 学术期刊
    • 数据中心
      • 国家地球系统科学数据中心——黑土与湿地分中心
      • 科学数据银行中国科学院东北地理与农业生态研究所科学数据社区
      • 中国科学院东北地理与农业生态研究所科学数据中心
  • 专题
  • 快捷通道
  • 邮箱
  • ARP
  • 内网
  • 网站地图
  • ENGLISH
  • 农业技术中心
  • 中国科学院
  • 邮箱
  • ARP
  • 内网
  • 网站地图
  • ENGLISH
  • 农业技术中心
  • 中国科学院
  • 首 页
  • 所况介绍
    • 机构简介
        中国科学院东北地理与农业生态研究所,是中国科学院设在东北地区的综合性地理学、农学、生态学、环境科学与技术研究机构和人才培养基地,于2002年由原中国科学院长春地...
      • 历任领导
      • 学术委员会
      • 学位委员会
      • 历史沿革
      • 园区风貌
      现任领导
      • 姜明

        所长

      • 王宗明

        党委书记
        副所长

      • 范存波

        党委副书记
        纪委书记

      • 李向楠

        副所长

      • 李禄军

        副所长

      • 祝惠

        副所长

      所长致辞
        中国科学院东北地理与农业生态研究所于2002年3月经中国科学院批准,由成立于1958年的中国科学院长春地理研究所和成立于1978年的中国科学院黑龙江农业现代化研究所整合组建而成,是中国科学院设立在东北地区的综合性地理学、农学、生态学、环境科学与技术研究机构和人才培养基地,2002进入中国科学院知识创新工程序列...
  • 机构设置
    • 直属机构
      • 农业技术中心
      科研系统
      • 黑土地保护与利用重点实验室(中国科学院)
      • 湿地生态重点实验室
      • 大豆分子设计育种重点实验室
      • 遥感与地理信息研究中心
      • 区域发展与环境研究中心
      管理系统
      • 党委办公室
      • 办公室
      • 科研计划处
      • 重大项目办公室
      • 人事教育处(研究生教育管理部)
      • 财务处
      • 条件保障处
      • 监督审计处
      • 农业技术中心综合办公室(含党办)
      • 农业技术中心科研计划处
      • 农业技术中心人事教育处
      • 农业技术中心财务管理处
      支撑系统
      • 信息中心
      • 学术期刊中心
      • 公共技术中心
      野外平台
      • 东北湿地观测研究网络
      • 东北农业监测网络
      • 长春净月潭遥感实验站
  • 人才建设
    • 概况
        东北地理所现有各类职工500余人,80%以上具有研究生学历。历年入选中国工程院院士1人,双聘院士7人,国家百千万、杰青、优青等国家级人才计划10余人,院级人才计划30余人。国家“973计划”、国家重点研发计划、国家科技基础性工作专项、科技基础资源调查专项、国家科技支撑计划等项目首席科学家10余人,国务院政府特殊津贴获得者60余人。
      • 院士
      • 国家基金委人才
      • 院级人才
      • 部委人才
      • 兴土人才
      • 正高级专业技术人员
      • 副高级专业技术人员
      • 中级专业技术人员
      • 特别研究助理
  • 科研成果
    • 概要
        60年的耕耘,东北地理所取得了累累的科研硕果。创建了我国湿地学科理论体系,揭示我国湿地形成与发育规律、土壤关键过程与生态功能,研发退化沼泽近自然综合恢复关键技术、湿地植被快速恢复技术和湿地苇-蟹/鱼-稻复合生态模式。阐明了黑土演化过程与驱动机制,揭示了黑土退化特征和肥力调控机理,研发了黑土地肥沃耕层构建关键技术、作物高光效新型种植模式、侵蚀黑土综合防治技术、合作研发了“梨树模式”等黑土保护与利用关键核心技术,支撑“黑土粮仓”科技会战。首次克隆了控制大豆开花期的最大位点基因E1以及控制大豆长青春期性状的经典基因J,在国际上率先建立大豆分子设计育种理论体系和最大容量的大豆突变体库;研发和...
      • 获奖
      • 论文
      • 专著
      • 专利
      • 应用技术
      • 标准
  • 合作交流
    • 院地合作
      • 吉林省水文水资源局一行调研东北地理所并签署合作协议
      • 中铁十四局集团到东北地理所开展专题调研
      • 第十届全国玉米育种大会暨中科玉科企联合体年度工作会议在海南乐东县成功召开
      • 黑龙江三江国家级自然保护区管理局党组书记、局长于小东一行调研东北地理所并签署合作协议
      • 兴安盟行政公署副盟长何伟利一行调研东北地理所
      • 东北地理所与吉林省松原市长岭县签署战略合作协议
      国际交流
      • 美国加州大学戴维斯分校William R. Horwath教授来东北地理所访问交流
      • 姜明参加地球观测组织(GEO)2023年会议周及部长级峰会
      • 中国科学院国际杰出学者Damià Barceló教授访问东北地理所
      • 姜明率团访问俄罗斯远东地区科研机构
      • 俄罗斯联邦科学水稻中心一行到东北地理所开展合作交流
      • 中美土壤学会“快速进化中的黑土地科学”研讨会在长春顺利召开
  • 研究生教育
    • 概况
        东北地理所是1978年恢复学位制度后,第一批硕士学位授予单位。现有环境科学与工程、地理学、生态学和农业资源与环境四个一级学科博士后流动站...
      • 导师介绍

      • 研究生会

      • 管理制度

      招生信息
      • 招生简介
      • 博士招生信息
      • 博士招生目录
      • 硕士招生信息
      • 硕士招生目录
      • 推免硕士生及直博生招生信息
      • 考试大纲及参考书相
      • 硕士试题下载
      表格下载
      • 招生用表格
      • 学籍用表格
      • 论文与学位用表格
      • 教师用表格
      • 毕业
      • 联合培养表格
      • 其它
  • 党群园地
  • 科学传播
    • 科普动态
      • 东北地理所举办第十九届公众科学日活动
      • 童心探科学 筑梦新时代
      • 东北地理所举办“中国科学院科学节·2022”活动
      • 东北地理所举办第十八届公众科学日系列科普活动
      • 东北地理所举办中科院第四届科学节活动
      • 东北地理所举行中科院第十七届公众科学日活动
      科普文章
      • 【科学大院】达尔文眼中“人类最值得信赖的朋友”,现在的处境有多危险?
      • 【科学大院】2022年中国新补充10343个物种,其中最多的是……
      • 【科学大院】灌木“步步入侵”,草原“何去何从”
      • 【中科院之声】野火对于野草,是敌是友?
      • 【科学大院】亮如白昼的夜里,有些植物处境艰
      • 【科学大院】如何保护黑土?有一个“偷懒”的办法
      科普图片/视频
      • 【哔哩哔哩直播2023中科院跨年演讲】邹文秀:“龙江模式”——保护黑土地 共筑大粮仓
      • 关义新-“用好养好”东北黑土
  • 信息公开
    • 工作信息

      相关规定

      • 信息公开规定
      • 信息公开指南
      • 信息公开目录

      年度报告

      • 2019年度信息公开工作报告
      • 2018年度信息公开工作报告

      组织机构

      • 工作机构
      • 监督机构
      主动公开

      基本信息

      • 单位概况
      • 机构设置
      • 现任领导
      • 发展规划

      规章制度

      • 机构管理
      • 科研活动管理
      • 人事教育管理

      科学研究

      • 研究领域
      • 研究成果

      财政经费

      • 预算决算

      人事人才

      • 人才队伍
      • 招生与培养
      • 人才招聘

      合作交流

      • 国际交流
      • 院地合作
      • 国际会议

      科学传播

      • 科普知识

      年度统计与出版物

      • 出版物
  • 首 页
  • 所况介绍
    • 机构简介
    • 所长致辞
    • 现任领导
    • 历任领导
    • 学术委员会
    • 学位委员会
    • 历史沿革
    • 园区风貌
  • 机构设置
    • 直属机构
    • 科研系统
      • 黑土地保护与利用重点实验室(中国科学院)
      • 湿地生态重点实验室
      • 大豆分子设计育种重点实验室
      • 遥感与地理信息研究中心
      • 区域发展与环境研究中心
    • 管理系统
      • 党委办公室
        • 部门简介
      • 办公室
        • 部门简介
        • 制度文件
      • 科研计划处
        • 部门简介
        • 制度文件
      • 重大项目办公室
        • 部门简介
      • 人事教育处(研究生教育管理部)
        • 部门简介
        • 制度文件
      • 财务处
        • 部门简介
        • 常用信息
      • 条件保障处
        • 部门简介
        • 制度文件
      • 监督审计处
        • 部门简介
      • 农业技术中心综合办公室(含党办)
        • 部门简介
      • 农业技术中心科研计划处
        • 部门简介
      • 农业技术中心人事教育处
        • 部门简介
      • 农业技术中心财务管理处
        • 部门简介
    • 支撑系统
      • 信息中心
      • 学术期刊中心
      • 公共技术中心
    • 野外平台
      • 东北湿地观测研究网络
      • 东北农业监测网络
      • 长春净月潭遥感实验站
  • 人才建设
    • 院士
      • 院士
    • 国家基金委人才
      • 国家杰出青年基金
      • 国家优秀青年基金
    • 院级人才
      • 关键技术人才及技术支撑人才
      • 王宽诚产研人才、区域发展青年学者
      • 青年创新促进会会员
    • 部委人才
      • 农业农村部
      • 国家林草局
    • 兴土人才
      • 基础和应用基础研究类
      • 成果转化类
    • 正高级专业技术人员
      • 支撑系统
      • 管理系统
    • 副高级专业技术人员
      • 支撑系统
      • 管理系统
    • 中级专业技术人员
      • 支撑系统
      • 管理系统
    • 特别研究助理
      • 黑土地保护与利用重点实验室(中国科学院)
      • 湿地生态重点实验室
      • 大豆分子设计育种重点实验室
      • 遥感与地理信息研究中心
      • 区域发展与环境研究中心
    • 博士后
      • 黑土地保护与利用重点实验室(中国科学院)
      • 湿地生态重点实验室
      • 大豆分子设计育种重点实验室
      • 遥感与地理信息研究中心
      • 区域发展与环境研究中心
    • 表格下载
      • 流程
      • 进站
      • 中期
      • 出站
      • 其他
  • 科研成果
    • 概要
    • 获奖
    • 论文
    • 专著
    • 专利
    • 应用技术
    • 标准
  • 合作交流
    • 院地合作
    • 国际交流
  • 研究生教育
    • 概况
    • 招生信息
      • 招生简介
      • 博士招生信息
      • 博士招生目录
      • 硕士招生信息
      • 硕士招生目录
      • 推免硕士生及直博生招生信息
      • 考试大纲及参考书相
      • 硕士试题下载
    • 导师介绍
      • 博士导师
      • 学术型硕士导师
      • 专业型硕士导师
    • 研究生会
    • 管理制度
    • 表格下载
      • 招生用表格
      • 学籍用表格
      • 论文与学位用表格
      • 教师用表格
      • 毕业
      • 联合培养表格
      • 其它
  • 党群园地
  • 科学传播
    • 科普动态
    • 科普文章
    • 科普图片/视频
  • 信息公开
    • 信息公开规定
    • 信息公开指南
    • 信息公开目录
    • 依申请公开
      • 在线申请-公民
      • 在线申请-法人/其他组织
    • 信息公开年度报告
    • 信息公开联系方式
    • 预算决算
  1. 当前位置:首页    新闻动态    科研动态
科研动态

东北地理所在内陆浑浊水体叶绿素a浓度遥感定量反演算法方面取得进展

来源:水环境遥感学科组

来源:水环境遥感学科组   |  发布时间:2020-03-23   |  【 大  中  小 】

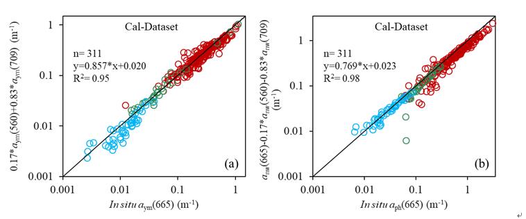
  叶绿素a浓度是藻类生物量的指示指标,是水质的重要表征参数,也是水环境研究(还是常规监测)必须监测的指标。湖泊叶绿素浓度的调查不仅可以确定水体的营养状态,为湖泊治理和渔业资源管理提供基础信息,而且有助于深刻理解和研究湖泊生态系统的生物地球化学循环过程以及其对气候变化的响应等。遥感技术具有监测范围大、速度快、周期性强、成本相对低廉等优点,能够节省大量的人力、物力,是进行内陆水体叶绿素a监测的最佳选择之一,弥补常规水质监测方法需要定时定点的不足。虽然近年来针对内陆浑浊水体叶绿素a浓度估算的研究已取得了巨大的进步,但由于内陆浑浊水体光学组分的复杂,获得大尺度、长时间序列的水体叶绿素a反演数据仍然是难以攻克的难题。 

  中科院东北地理与农业生态研究所水环境遥感团队,在内陆浑浊水体叶绿素a浓度遥感定量反演方面取得重要进展。构建了一种新的内陆浑浊水体叶绿素a浓度估算算法(TC2)。TC2算法提出了一种新的假设用于更有效地去除叶绿素a吸收峰附近(~665 nm)非色素碎屑物质吸收信号。相比于经典三波段模型的假设,TC2模型的假设大大提高了叶绿素a吸收峰附近非色素碎屑物质吸收信号的去除精度,其对藻类色素吸收系数估算的平均相对误差由经典三波段模型的65%降低为20%。基于大量野外实测数据的验证结果表明,相比于几种经典算法,TC2算法大大提高了内陆浑浊水体叶绿素a浓度的估算精度。

图1.基于实测吸收数据对TC2算法新的假设的验证 

图2. 5种模型叶绿素a浓度估算精度对比 

该成果近期发表在《Remote Sensing of Environment》上,受到国家重点研发计划课题“我国北方湖泊时空格局和变化特征(2019YFA0607101)”与国家自然科学基金重点项目(“咸水湖泊固有光学-偏振-介电特性研究”, 41730104)的共同资助。 

论文信息: 

Ge Liu, Lin Li, Kaishan Song, Yunmei Li, Heng Lyu, Zhidan Wen, Chong Fang, Shun Bi, Xiaoping Sun, Zongming Wang, Zhigang Cao, Yingxin Shang, Gongliang Yu, Zhubin Zheng, Changchun Huang, Yifan Xu, Kun Shi 

全文链接: 

https://www.sciencedirect.com/science/article/pii/S0034425720300961 

https://www.sciencedirect.com/science/article/abs/pii/S0034425720300171 

  


附件下载:

版权所有 © 中国科学院东北地理与农业生态研究所 吉ICP备05002032号-1 吉公网安备22017302000214号
地址:吉林省长春市高新北区盛北大街4888号 邮编:130102
电话:+86 431 85542266 传真:+86 431 85542298 Email:iga@iga.ac.cn