东北地理所发现氮添加能够提高植物早期生长的耐盐性及潜在机制
盐渍化是土地退化的一个重要方面,全球灌溉地区每年由于土壤盐渍化造成的损失约为273亿美元。植物在盐碱地成功建植的关键环节是出苗和定居,因此植物萌发和幼苗早期生长对盐的响应机理研究受到很多关注。盐对植物生长的不利影响主要包括渗透效应引起的生理干旱、离子毒害及养分失衡,其中养分亏缺对萌发影响的研究很少。
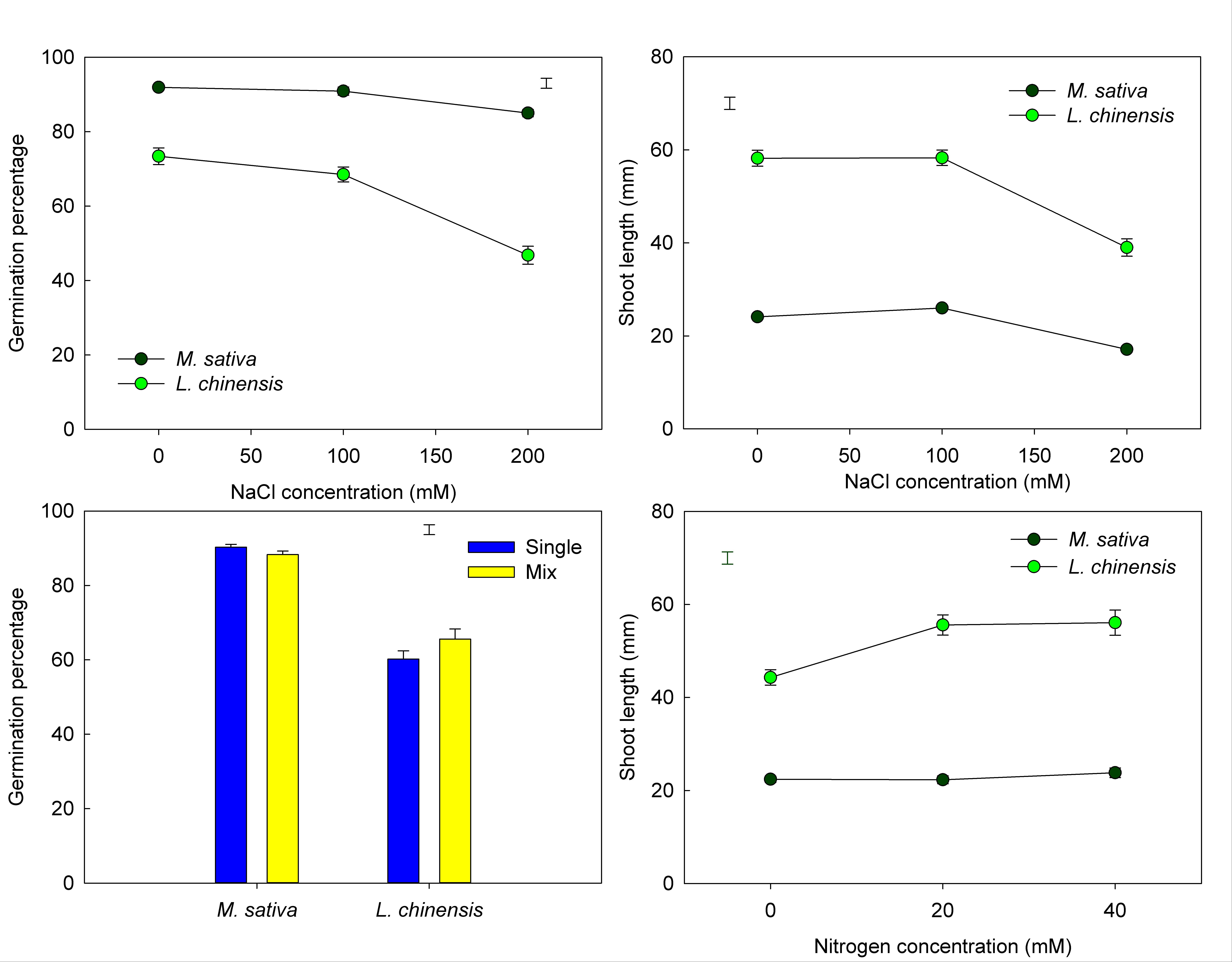
为了研究盐和氮的交互作用对优质牧草禾本科羊草(Leymus chinensis)和豆科紫花苜蓿(Medicago sativa)早期生长的影响,东北地理所草地农牧业学科组科研人员开展了一个2×2×3×3析因设计实验,两种牧草在三个盐浓度(0、100、200 mM NaCl)、三个氮浓度(0、20、40 mM NH4NO3)单播和混播条件下进行萌发。研究结果表明,混播和氮添加显著增加氮敏感物种羊草的发芽率、发芽速度和幼苗高度,而对固氮植物紫花苜蓿种子的萌发和幼苗生长影响不大(图1)。苜蓿幼苗的钠离子含量随盐浓度和氮浓度的增加而增加,氮含量保持相对稳定;而羊草幼苗的钠离字含量保持稳定,氮含量在加氮条件下显著增加。因此我们推测羊草和苜蓿混播条件下,苜蓿吸收钠离子形成“微-生物治理micro-bioremediation”环境,使羊草吸收氮素作为养分和渗透调节剂,促进其种子萌发和早期生长。
本研究结果发表在国际期刊Land Degradation & Development上,东北地理所张红香副研究员为论文的第一作者,周道玮研究员为通讯作者,相关工作得到国家重点基础研究发展计划(973计划)和国家自然科学基金的资助。
论文信息:
Zhang H, Xiang Y, Irving LJ, Li Q, Zhou D. (2019) Nitrogen addition can improve seedling establishment of N-sensitive species in degraded saline soils. Land Degradation & Development, 30:119-127.

图1 不同盐浓度(a)、单播或混播条件下(b)羊草和紫花苜蓿的萌发率及不同盐(c)和氮浓度下(d)羊草和紫花苜蓿的幼苗高度。

图2 不同盐和氮条件下羊草和紫花苜蓿的幼苗钠离子浓度(a紫花苜蓿,b羊草)及氮含量(c紫花苜蓿,d羊草)。
附件下载:
吉公网安备22017302000214号