东北地理所在草原不同演替阶段优势种对水氮添加的响应机理方面取得进展
水分和氮素是植物生长必需的资源,近年来气候变化和人类活动造成水分和氮素有效性在时空尺度上的重新配置,进而影响陆地生态系统的生产力和群落组成。内蒙古草原是水分和氮素限制的地区,对水分和氮素有效性的变化尤其敏感。在内蒙古草原,长期过度放牧导致土壤水分和氮素有效性降低,同时草地发生不同程度的退化及群落组成的改变,很多草场由大针茅(Stipa grandis)和羊草(Leymus chinensis)为优势的群落退化为糙隐子草(Cleistogenes squarrosa)为优势的群落。目前,不同演替阶段优势种对水氮添加的响应是否有差异,重度退化草场优势植物是否具有更高的水分和氮素利用效率并不清楚。
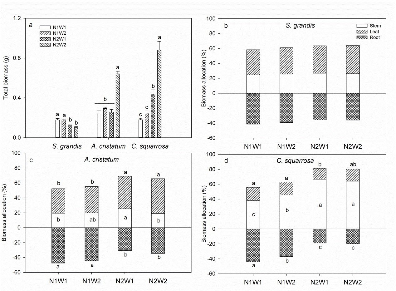
为回答这一科学问题,东北地理所草地农牧业学科组以同为多年生丛生型禾草的不同演替阶段优势种大针茅、冰草(Agropyron cristatum)和糙隐子草为对象,研究它们幼苗期对施氮处理(0.53和16.25 gm-2y-1 N)、水分处理(田间持水量的50%和70%)及水氮交互作用的响应及其生理生态机理。研究结果表明,非退化草场优势种大针茅对水氮添加不敏感,生物量分配、水分和氮素利用效率在不同处理下保持相对稳定。而重度退化草场优势种糙隐子草对水氮添加积极响应,高水和高氮显著增加其各部分器官的生物量、总生物量及茎的生物量分配(图1)。糙隐子草在高水高氮条件下的水分利用效率最高,在低水低氮条件下的氮素利用效率最高(图2)。中度退化草场的优势种冰草的响应介于二者之间。不同物种对水氮添加响应的策略差异能够反映它们在不同退化程度草原的分布规律。全球变化模型预测未来内蒙古草原地区降雨和氮沉降都将增加,由我们的结果可以推测,水分和氮素有效性增加有利于内蒙古草原退化的恢复,然而这种变化对优势种大针茅不利,其在内蒙古草原的优势度很可能降低。
本研究结果发表在国际期刊Science of the Total Environment上,由东北地理所张红香副研究员(第一作者)和东北师范大学高英志教授(通信作者)等合作完成。研究得到了国家重点基础研究发展计划(973计划)和国家自然科学基金的资助。
论文信息:
Zhang H, Gao Y, Tasisa BY, Baskin JM, Baskin CC, Lü X, Zhou D. (2019) Divergent responses to water and nitrogen addition of three perennial bunchgrass species from variously degraded typical steppe in Inner Mongolia. Science of the Total Environment, 647: 1344-1350.

图1 三个物种总生物量(a)和茎、叶、根生物量分配(%,b-d)对水氮添加的响应。N1W1,低氮低水;N1W2,低氮高水;N2W1,高氮低水;N2W2,高氮高水。

图2 大针茅、冰草和糙隐子草在不同水氮条件下的水分利用效率(a)和氮素利用效率(b)。
附件下载:
吉公网安备22017302000214号