东北地理所在CO2升高对小麦抗逆性和品质的影响机制方面取得进展
近年来大气CO2增高对作物生长发育的影响逐渐受到关注,小麦等大田作物在生育期内会遭遇多种气象灾害,特别是发生于生育后期的水分及温度胁迫严重影响了小麦的产量和品质形成,关于大气CO2增高对小麦抗旱性等的影响是国内外研究热点。而大气CO2增高是一个长期持续存在的过程,势必对小麦连续多代的生长和籽粒产量及品质产生累积效应。
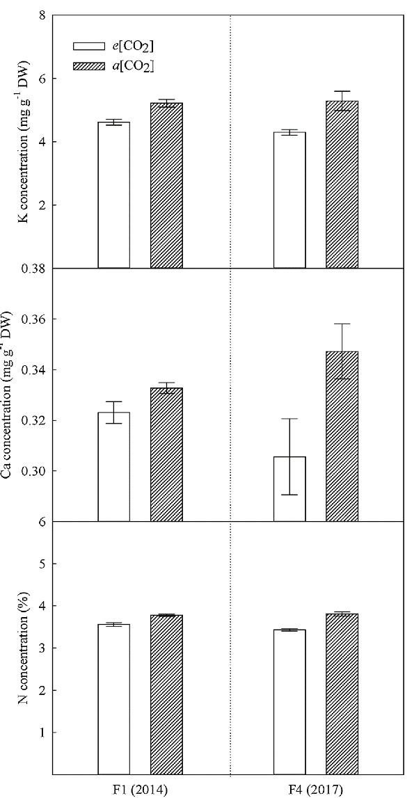
东北地理所作物生理与栽培学科组围绕大气CO2增高对小麦的抗逆性及品质的影响机制,系统分析了大气CO2增高与高温、干旱、冻害等非生物胁迫间的互作对小麦植株水分状况及产量的影响,并且研究了连续四代大气CO2增高影响小麦产量和品质形成的生理机制。研究发现开花前CO2增高导致植株营养生长期碳同化增加,其加重了抽穗期低温胁迫对小麦的不利影响,而灌浆期的CO2增高则利于缓解低温胁迫造成的小麦减产。全生育期CO2增高与花后高温干旱均导致气孔导度、叶水势等显著降低,并且影响了叶片和穗中的脱落酸含量,CO2增高对高温干旱双重胁迫的缓解主要表现在穗粒数和粒重的保持上。此外,连续多代CO2增高严重导致籽粒氮、钾、钙等元素、谷蛋白大聚合体及氨基酸含量的显著降低,表现出籽粒品质变劣的趋势,研究结果表明单代或短期的CO2增高研究结果不足以估测大气CO2增高对作物产量品质影响的长期效应。
该系列研究由东北地理所李向楠研究员(第一和通讯作者)与海外特聘研究员丹麦哥本哈根大学刘福来教授等合作完成。相关研究于2019年发表于Environmental and Experimental Botany和Journal of Agronomy and Crop Science上。研究得到了丹麦Villum博士后基金、国家自然基金及国家重点研发项目资助。

图1 不同生育期大气CO2增高对小麦籽粒产量的影响

图2 连续四代大气CO2增高对小麦籽粒氮及矿质营养含量的影响
论文信息:
Li X, Khan A, Lv Z, Fang L, Jiang D, Liu F (2019) Effect of multigenerational exposure to elevated atmospheric CO2 concentration on grain quality in wheat. Environmental and Experimental Botany 157: 310-319.
Li X, Li Y, Zhu X, Liu S, Liu F (2019) Modulation of photosynthate supply by CO2 elevation affects the post-head-emergence frost-induced grain yield loss in wheat. Journal of Agronomy and Crop Science 205: 54-64. doi: 10.1111/jac.12304.
Li X, Kristiansen K, Rosenqvist E, Liu F (2019) Elevated CO2 modulates the effects of drought and heat stress on plant water relations and grain yield in wheat. Journal of Agronomy and Crop Science. DOI: 10.1111/jac.12330.
附件下载:
吉公网安备22017302000214号