东北地理所揭示野生植物种子储藏物质与种子萌发的关系
种子萌发是植物生活史的起始和关键阶段,受多种环境因素影响,同时环境因素也通过调控母体转移到种子中的储藏物质种类和量间接影响种子萌发。以往有关贮藏物质如淀粉、蛋白质或脂肪含量及种子活力与萌发关系的研究主要见于作物种子,在野生种中鲜有报道。不同物种种子贮藏物类型、比例及作用不同,分析主要储藏物质含量与野生物种种子萌发的相关性及种子萌发过程中支持胚根突出的关键储藏物质将有助于深入认识种子萌发的代谢生理以及作物驯化过程。
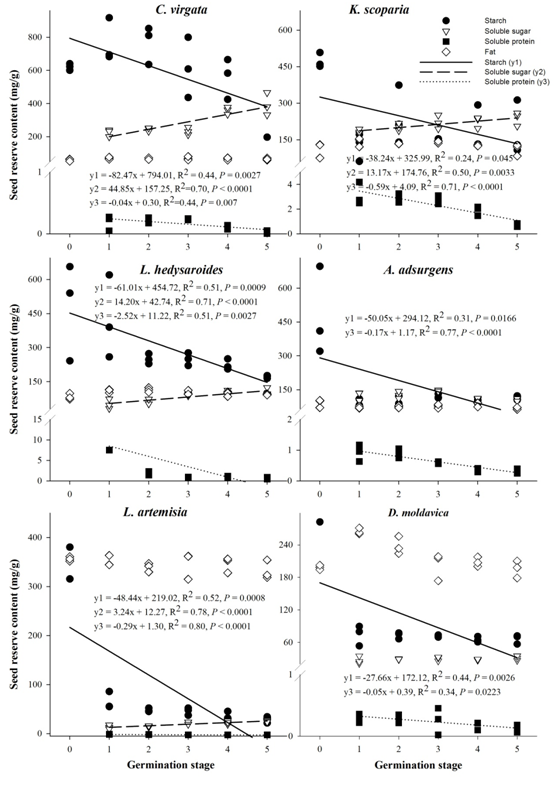
针对这一问题,东北地理所草地农牧业学科组研究了6种不同储藏物质类型的野生草地植物虎尾草、碱地肤、细叶胡枝子、沙打旺、益母草、香青兰(表1)干种子及不同萌发阶段(吸胀期、1%萌发、50%萌发、最高萌发、早期幼苗)淀粉、脂肪、可溶蛋白和可溶糖的含量变化。研究发现,萌发率和萌发速率与干种子中三大物质储藏含量不相关,但萌发速率与萌发过程中可溶糖和可溶蛋白含量显著相关。无论哪种储藏物质类型,淀粉主要在吸胀阶段作为能量物质,从吸胀阶段到早期幼苗阶段可溶蛋白作为主要能量物质,而脂肪含量在整个萌发过程中无显著变化(图1)。脂肪利用的结果与禾本科和豆科作物种明显不同,这一结果为野生种萌发过程中储藏物质作为能量来源的作用提供了新视角。
本研究成果于2018年2月在Frontiers in Plant Science在线发表,联合培养硕士生赵明为第一作者,东北地理所张红香副研究员为通讯作者,相关工作得到国家自然科学基金和国家重点基础研究发展计划(973计划)的资助。
论文信息:
Ming Zhao, Hongxiang Zhang*, Hong Yan, Lu Qiu and Carol C. Baskin (2018) Mobilization and role of starch, protein, and fat reserves during seed germination of six wild grassland species. Frontiers in Plant Science, 9: 234.
表1 六个物种所属的科、生活型、光合途径(P)、三大储藏物质所占的比例及种子千粒重


图1 六个物种淀粉、脂肪、可溶蛋白、可溶糖含量在萌发过程中的回归分析。0表示干种子,1表示吸胀,2表示1%萌发,3表示50%萌发,4表示最高萌发,5表示早期幼苗阶段。
附件下载:
吉公网安备22017302000214号