东北地理所在CO2浓度升高对大豆根际微生物群落结构影响研究取得进展
以CO2浓度升高为主要特征的全球气候变化已经对农田生态系统产生重大影响,成为全球农业可持续发展的严峻挑战。CO2浓度升高影响植物生理代谢过程,导致植物根系分泌物的总量和化学组成发生改变,进而可能影响土壤微生物群落结构和生态功能。由于土壤微生物驱动碳氮循环,参与土壤养分转化,揭示CO2浓度升高条件下,根际土壤微生物的群落结构及其与土壤农化指标的关系对土壤生产力可持续发展和提高农业生产的气候变化适应性将产生重要意义。
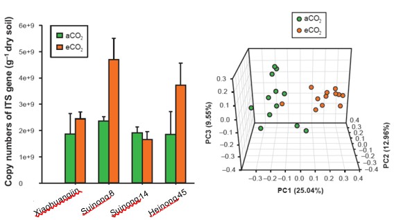
为此,东北地理所农田分子生态学科组于镇华、李彦生助理研究员和金剑研究员等采用OTC植物生长箱,以自然状态CO2浓度条件下生长的大豆为对照,采用qPCR及高通量测序(MiSeq)技术,对比研究了高CO2浓度(550 ppm)条件下4种主栽大豆品种根际微生物群落结构组成的变化。研究证实CO2浓度升高对东北黑土生长的大豆根际细菌群落结构产生明显的影响(图1),发现高CO2浓度显著影响15个细菌属的丰度,而且这种影响程度在不同大豆品种间存在差异;在真菌研究方面,发现CO2浓度升高显著改变了真菌群落结构并提高了部分大豆品种根际真菌丰度(图2),微生物网络分析表明CO2浓度升高简化了土壤真菌的网络结构及关键菌属(图3),而这些变化与土壤理化性质密切相关。此研究结果将有助于预测我国东北黑土微生物对全球气候变化的响应机制及其与土壤质量的变化关系。
相关研究结果发表在Agriculture, Ecosystems & Environment(2016,2018)上,于镇华和李彦生博士为共同第一作者,金剑研究员为通讯作者。研究得到了黑龙江省杰出青年科学基金(JC201413)以及国家自然科学基金(41201247, 41271261, 31501259)的联合资助。

图1 CO2浓度升高(eCO2)和不升高(aCO2)条 图2 CO2浓度升高(eCO2)和不升高(aCO2)条件下
件下不同大豆品种根际细菌群落结构PCoA分析 不同大豆品种根际真菌丰度和群落结构PCoA分析

图3 CO2浓度升高(eCO2)和不升高(aCO2)条件下不同大豆品种根际真菌群落网络结构Zi-Pi图
论文信息:
1. Zhenhua Yu, Yansheng Li, Guanghua Wang, Junjie Liu, Judong Liu, Xiaobing Liu, Stephen James Herbert, Jian Jin. Effectiveness of elevated CO2 mediating bacterial communities in the soybean rhizosphere depends on genotypes. Agriculture, Ecosystems and Environment 231 (2016) 229–232.
2. Zhenhua Yu, Yansheng Li, Xiaojing Hu, Jian Jin, Guanghua Wang, Caixian Tang, Junjie Liu, Xiaobing Liu, Ashley Franks, Elenora Egidic, Zhihuang Xie. Elevated CO2 increases the abundance but simplifies networks of soybean rhizosphere fungal community in Mollisol soils. Agriculture, Ecosystems and Environment 264 (2018) 94–98
论文链接:
https://www.sciencedirect.com/science/article/pii/S0167880916303577
https://www.sciencedirect.com/science/article/pii/S0167880918301968
附件下载:
吉公网安备22017302000214号