我所在东北黑土农田酸杆菌生物地理分布研究上取得进展
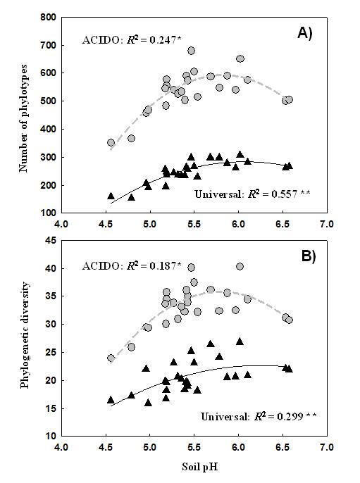
土壤中酸杆菌门细菌数量与变形菌门细菌相当,一般占细菌总量的20%-50%左右,在土壤生态过程中起到重要的作用。酸杆菌细菌一般具有嗜酸、寡营养和难培养的特点。国际上多篇基于高通量测序论文的研究结果发现,森林和草原土壤中酸杆菌的相对丰度与土壤pH成显著负相关关系,然而我们前期针对我国东北黑土农田的研究发现这种关系在黑土带上不成立(SBB, 2014, 70:113-122),表明黑土农田土壤酸杆菌可能存在独特的分布格局。为此,我所农田分子生态学科组王光华团队针对酸杆菌专性引物ACIDO/342r的Miseq测序结果,并结合前期采用细菌通用引物的454高通量测序结果,对酸杆菌门细菌在黑土带上的分布规律进行了综合分析。研究发现黑土农田土壤中存在21个酸杆菌亚门细菌,其中GP1、GP3、GP4和GP6为优势类群,占测序总数的90%左右,而GP2相对丰度小于1%,这与自然森林和草地土壤不同。研究揭示出酸杆菌的绝对丰度(数量)与土壤有机质含量成高度正相关关系,表明黑土中一些酸杆菌成员为富营养菌,修正我们对酸杆菌是寡营养菌的认识。研究结果表明酸杆菌亚门GP1和GP3的相对丰度与土壤pH成负相关关系,而亚门GP4和GP6与pH成正相关关系;不同亚门酸杆菌与土壤pH值正负关系相互抵消及缺少GP2从而导致东北黑土农田酸杆菌相对丰度与土壤pH值负相关关系不显著。研究揭示出黑土农田酸杆菌群落多样性与pH值呈现非线性单峰分布状态,在土壤pH值6.0左右时,酸杆菌多样性最高。研究还发现,有别于黑土农田细菌和真菌群落分布规律,地理空间距离对酸杆菌群落在东北黑土带上分布格局影响不大,而土壤因素,特别是土壤pH是驱动酸杆菌群落结构分布的关键因子。
该研究得到中科院先导科技专项XDB15010103等项目的资助,研究成果发表在最新出版的Soil Biology &Biochemistry (2016, 95:212-222)。目前该学科组已在SBB上连续发表3篇论文阐述东北黑土农田土壤微生物群落在黑土带上的分布规律及驱动机制。
论文链接: http://www.sciencedirect.com/science/article/pii/S0038071716000067

图1. 不同亚门酸杆菌相对丰度在不同pH值农田黑土中的分布情况

图2. 黑土农田酸杆菌多样性与土壤pH值关系。灰色圆圈是采用酸杆菌特殊引物MiSeq测序结果,黑色三角是采用细菌通用引物454高通量测序结果。

图3. 黑土农田不同亚门酸杆菌相对丰度与土壤pH值关系。灰色圆圈是采用酸杆菌特殊引物MiSeq测序结果,黑色三角是采用细菌通用引物454高通量测序结果。
附件下载:
吉公网安备22017302000214号